• Linea Politico-Editoriale
  • La Redazione
  • Registrati
  • Termini e Condizioni
  • Contattaci
  • Lavora con noi
  • Pubblicità
  • Privacy Policy
  • Trattamento Dati
  • Entra
Il Crivello
  • Politica
  • Cronaca
    • Napoli
    • Caserta
    • Salerno
    • Benevento
    • Avellino
  • Inchieste
  • Economia
  • Società
  • Scuola
  • Cultura
    • Letture
    • Arte
    • Fumetti
  • Spettacoli
    • Musica
    • Teatro
    • Cinema
    • Televisione
  • Sport
  • Rubriche
    • LeggiAmo
    • Tech & Digital
    • Salute e Benessere
    • Architettura
    • Nutrizione
  • Registrati
Nessun risultato
Visualizza tutti i risultati
  • Politica
  • Cronaca
    • Napoli
    • Caserta
    • Salerno
    • Benevento
    • Avellino
  • Inchieste
  • Economia
  • Società
  • Scuola
  • Cultura
    • Letture
    • Arte
    • Fumetti
  • Spettacoli
    • Musica
    • Teatro
    • Cinema
    • Televisione
  • Sport
  • Rubriche
    • LeggiAmo
    • Tech & Digital
    • Salute e Benessere
    • Architettura
    • Nutrizione
  • Registrati
Nessun risultato
Visualizza tutti i risultati
Il Crivello
Nessun risultato
Visualizza tutti i risultati
Home Cronaca

Aggiornamento Covid-19 nel Casertano: 301 nuovi casi positivi su 3.148 tamponi processati e zero decessi

Continua l’ascesa dei contagi in Terra di Lavoro, si contano in totale 4.102 positivi. Tutti i dati aggiornati città per città

redazione di redazione
19 Dicembre 2021
in Cronaca

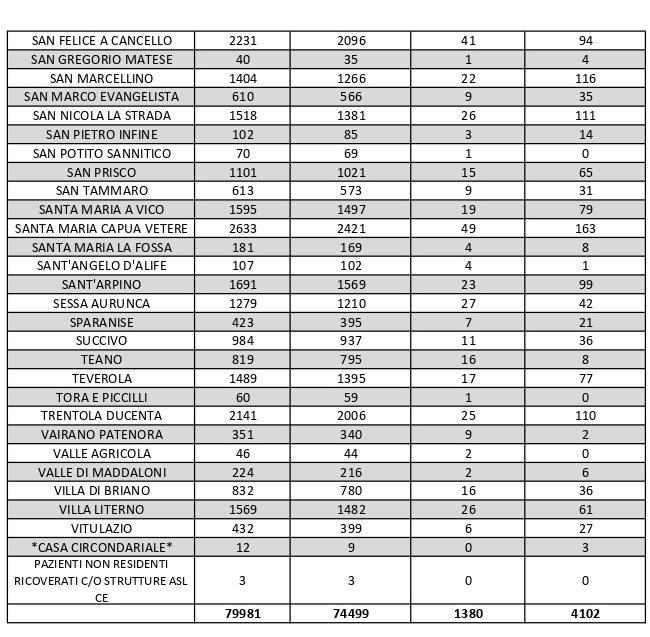
Report Covid-19 – Elaborazione effettuata il 19 dicembre 2021

Il bollettino quotidiano diffuso oggi dall’Asl di Caserta sull’andamento dell’epidemia di Covid-19 in tutta la provincia evidenzia 301 nuovi casi positivi al virus su un totale di 3.148 tamponi giornalieri processati dalle strutture distrettuali sanitarie.

Il tasso di positività si attesta al 9,56%. Attualmente, in tutto il Casertano, si contano in totale 4.102 persone contagiate dall’infezione virale. Le persone completamente guarite dal Coronavirus invece, risultate quindi negative al doppio tampone dopo aver contratto la malattia, sono 152. Fortunatamente nelle ultime ventiquattr’ore non si registra nessun decesso provocato dalle complicazioni del Sars-Cov-2.

La città più colpita di tutta la provincia risulta essere Aversa con 276 contagiati. Seguono: Maddaloni con 261, Caserta con 241 contagiati, Marcianise con 226 contagiati, Santa M. C. Vetere con 163, Orta di Atella 147, San Marcellino con 116, San Nicola La Strada con 111, Trentola Ducenta con 110, Castel Volturno con 109, Sant’Arpino con 99. A seguire l’elenco riportato.

Ecco i dati del bollettino sanitario città per città:

Tags: Covid-19primopianoprovincia di Casertatamponi
CondividiInviaTweet
Articolo precedente

Giovane mamma della provincia di Caserta muore stroncata dal Covid poco dopo la nascita della figlia

Articolo successivo

De Luca, nuova ordinanza: in Campania, vieta feste scolastiche, di laurea e compleanni in locali al chiuso

Articolo successivo
De Luca, nuova ordinanza: in Campania, vieta feste scolastiche, di laurea e compleanni in locali al chiuso

De Luca, nuova ordinanza: in Campania, vieta feste scolastiche, di laurea e compleanni in locali al chiuso

Facebook Instagram Youtube Twitter LinkedIn
Il Crivello

Strumento di informazione puntuale, orientato dalla parte dei cittadini e delle associazioni, di quel tessuto sociale che non sempre ha “voce” e, spesso, trova difficoltà ad esprimersi.

Archivi

Link Utili

  • Linea Politico-Editoriale
  • La Redazione
  • Registrati
  • Entra e Invia una notizia
  • Termini e Condizioni
  • Contattaci
  • Lavora con noi
  • Per la tua pubblicità
  • Privacy Policy
  • Trattamento dati personali

© 2021 Il Crivello - Tutti i diritti riservati

Nessun risultato
Visualizza tutti i risultati
  • Politica
  • Cronaca
    • Napoli
    • Caserta
    • Salerno
    • Benevento
    • Avellino
  • Inchieste
  • Economia
  • Società
  • Scuola
  • Cultura
    • Letture
    • Arte
    • Fumetti
  • Spettacoli
    • Musica
    • Teatro
    • Cinema
    • Televisione
  • Sport
  • Rubriche
    • LeggiAmo
    • Tech & Digital
    • Salute e Benessere
    • Architettura
    • Nutrizione
  • Registrati

© 2021 Il Crivello - Tutti i diritti riservati

Questo sito Web utilizza i cookie. Continuando a utilizzare questo sito Web, acconsenti all'utilizzo dei cookie. Visita la nostra Privacy Policy.