Report Covid-19 – Elaborazione effettuata il 11 febbraio 2022
Il bollettino quotidiano diffuso oggi dall’Asl di Caserta sull’andamento dell’epidemia di Covid-19 in tutta la provincia evidenzia 1.075 nuovi casi positivi al virus su un totale di 7.850 tamponi giornalieri processati dalle strutture distrettuali sanitarie.
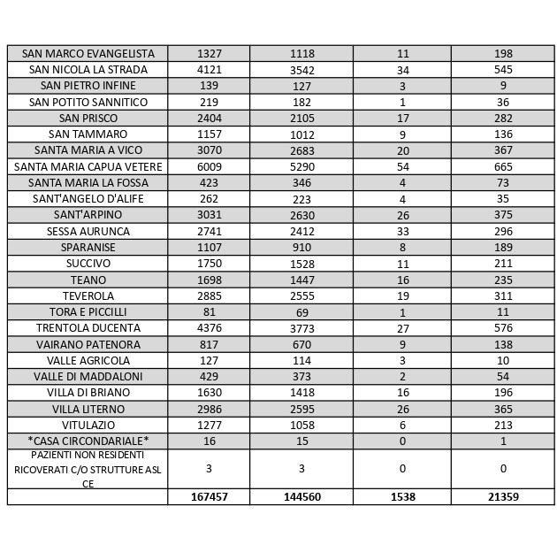
Il tasso di positività si attesta 13,69%. Attualmente, in tutto il Casertano, si contano in totale 21.359 persone contagiate dall’infezione virale. Le persone completamente guarite dal Coronavirus invece, risultate quindi negative al doppio tampone dopo aver contratto la malattia, sono 1.574. Sfortunatamente nelle ultime ventiquattr’ore si registrano 9 decessi provocati dalle complicazioni del Sars-Cov-2.
La città più colpita di tutta la provincia risulta essere Caserta con 1.631 casi positivi al Covid, Aversa con 1.208, Maddaloni con 1.025, Marcianise con 984, Orta di Atella con 754, Casal di Principe con 669, Santa M. C. Vetere con 665, Mondragone con 552. Segue elenco dei dati del bollettino sanitario città per città: