Report Covid-19 – Aggiornato al 05/luglio/2022
Il bollettino quotidiano diffuso oggi dall’Asl di Caserta sull’andamento dell’epidemia di Covid-19 in tutta la provincia evidenzia 2.491 nuovi casi positivi al virus su un totale di 7.733 tamponi giornalieri processati dalle strutture distrettuali sanitarie.
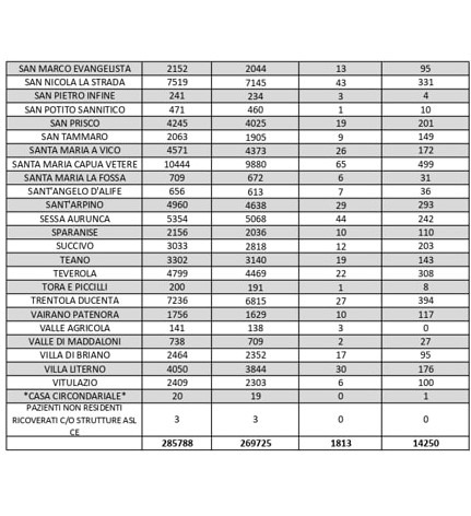
Il tasso di positività si attesta 32,21%. Attualmente, in tutto il Casertano, si contano in totale 14.250 persone contagiate dall’infezione virale. Le persone completamente guarite dal Coronavirus invece, risultate quindi negative al doppio tampone dopo aver contratto la malattia,646. Sfortunatamente nelle ultime 24ore si registra 1 decesso provocato dalle complicazioni del Sars-Cov-2.
La città più colpita di tutta la provincia risulta essere Caserta con 1.172 casi positivi, Aversa con 1.026, Marcianise con 731, Orta Di Atella con 538, Santa M. C. Vetere con 499, Maddaloni con 488, Mondragone 459, Trentola Ducenta con 394, San Nicola La Strada con 331 casi.