• Linea Politico-Editoriale
  • La Redazione
  • Registrati
  • Termini e Condizioni
  • Contattaci
  • Lavora con noi
  • Pubblicità
  • Privacy Policy
  • Trattamento Dati
  • Entra
Il Crivello
  • Politica
  • Cronaca
    • Napoli
    • Caserta
    • Salerno
    • Benevento
    • Avellino
  • Inchieste
  • Economia
  • Società
  • Scuola
  • Cultura
    • Letture
    • Arte
    • Fumetti
  • Spettacoli
    • Musica
    • Teatro
    • Cinema
    • Televisione
  • Sport
  • Rubriche
    • LeggiAmo
    • Tech & Digital
    • Salute e Benessere
    • Architettura
    • Nutrizione
  • Registrati
Nessun risultato
Visualizza tutti i risultati
  • Politica
  • Cronaca
    • Napoli
    • Caserta
    • Salerno
    • Benevento
    • Avellino
  • Inchieste
  • Economia
  • Società
  • Scuola
  • Cultura
    • Letture
    • Arte
    • Fumetti
  • Spettacoli
    • Musica
    • Teatro
    • Cinema
    • Televisione
  • Sport
  • Rubriche
    • LeggiAmo
    • Tech & Digital
    • Salute e Benessere
    • Architettura
    • Nutrizione
  • Registrati
Nessun risultato
Visualizza tutti i risultati
Il Crivello
Nessun risultato
Visualizza tutti i risultati
Home Cronaca Caserta

Aggiornamento Covid nel Casertano, il bollettino del 1° agosto: oggi 253 nuovi casi

Eseguiti molti meno tamponi, l'odierno bollettino certifica 12.128 contagiati in tutto il Casertano. Eseguiti molti meno tamponi, l'odierno bollettino certifica 12.128 contagiati in tutto il Casertano. Tutti i dati città per città

redazione di redazione
1 Agosto 2022
in Caserta, Cronaca

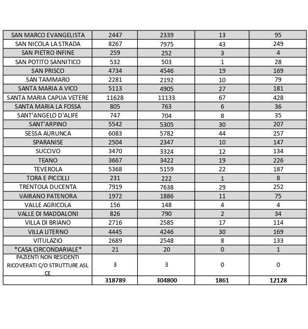
Report Covid-19 – Aggiornato al 1/agosto/2022

Il bollettino quotidiano diffuso oggi dall’Asl di Caserta sull’andamento dell’epidemia di Covid-19 in tutta la provincia evidenzia 253 nuovi casi positivi al virus su un totale 1.287 tamponi giornalieri processati dalle strutture distrettuali sanitarie.

Il tasso di positività si attesta 19,66%. Attualmente, in tutto il Casertano, si contano in totale 12.128 persone contagiate dall’infezione virale. Le persone completamente guarite dal Coronavirus invece, risultate quindi negative al doppio tampone dopo aver contratto la malattia, 425. Fortunatamente nelle ultime 24ore non si registrano decessi provocati dalle complicazioni del Sars-Cov-2.

La città più colpita di tutta la provincia risulta essere Caserta con 973 casi positivi, Aversa con 613 Marcianise con 513, Maddaloni con 507, Santa M. C. Vetere con 428, Casal di Principe con 384, Orta Di Atella con 357, Mondragone 354.

Segue elenco dei dati del bollettino sanitario città per città:

Tags: Covid-19primopianotamponi
CondividiInviaTweet
Articolo precedente

Agro Aversano, controlli anti-movida dei carabinieri: deferite in stato di libertà 5 persone

Articolo successivo

Incidente sulla Domitiana a Mondragone: code e rallentamenti per vari chilometri

Articolo successivo
Incidente sulla Domitiana a Mondragone: code e rallentamenti per vari chilometri

Incidente sulla Domitiana a Mondragone: code e rallentamenti per vari chilometri

Facebook Instagram Youtube Twitter LinkedIn
Il Crivello

Strumento di informazione puntuale, orientato dalla parte dei cittadini e delle associazioni, di quel tessuto sociale che non sempre ha “voce” e, spesso, trova difficoltà ad esprimersi.

Archivi

Link Utili

  • Linea Politico-Editoriale
  • La Redazione
  • Registrati
  • Entra e Invia una notizia
  • Termini e Condizioni
  • Contattaci
  • Lavora con noi
  • Per la tua pubblicità
  • Privacy Policy
  • Trattamento dati personali

© 2021 Il Crivello - Tutti i diritti riservati

Nessun risultato
Visualizza tutti i risultati
  • Politica
  • Cronaca
    • Napoli
    • Caserta
    • Salerno
    • Benevento
    • Avellino
  • Inchieste
  • Economia
  • Società
  • Scuola
  • Cultura
    • Letture
    • Arte
    • Fumetti
  • Spettacoli
    • Musica
    • Teatro
    • Cinema
    • Televisione
  • Sport
  • Rubriche
    • LeggiAmo
    • Tech & Digital
    • Salute e Benessere
    • Architettura
    • Nutrizione
  • Registrati

© 2021 Il Crivello - Tutti i diritti riservati

Questo sito Web utilizza i cookie. Continuando a utilizzare questo sito Web, acconsenti all'utilizzo dei cookie. Visita la nostra Privacy Policy.