Report Covid-19 – Aggiornato al 17/agosto/2022
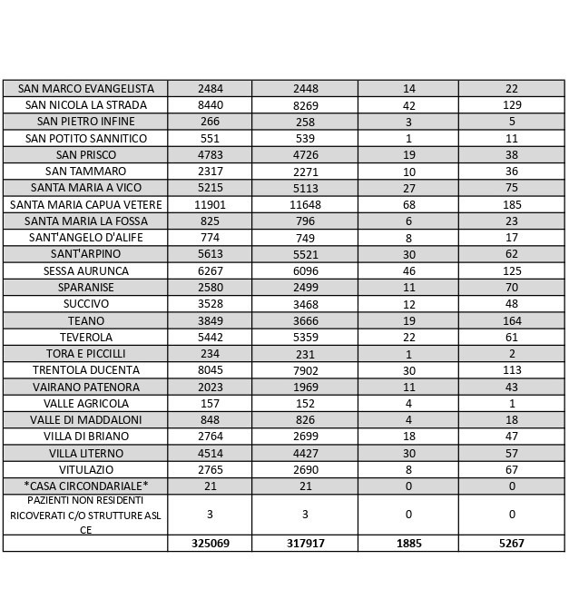
Il bollettino quotidiano diffuso oggi dall’Asl di Caserta sull’andamento dell’epidemia di Covid-19 in tutta la provincia evidenzia 404 nuovi casi positivi al virus su un totale di 2.647 tamponi giornalieri processati dalle strutture distrettuali sanitarie.
Il tasso di positività si attesta 15,26%. Attualmente, in tutto il Casertano, si contano in totale 5.267 persone contagiate dall’infezione virale. Le persone completamente guarite dal Coronavirus invece, risultate quindi negative al doppio tampone dopo aver contratto la malattia, 688. Sfortunatamente nelle ultime 24 ore si registrano 2 decessi provocati dalle complicazioni del Sars-Cov-2.
La città più colpita di tutta la provincia risulta essere Caserta con 381 casi positivi, Aversa con 225, Marcianise con 199, Santa M. C. Vetere con 185, Maddaloni con 173, Mondragone 189, Casal di Principe con 161, Orta Di Atella con 120.