• Linea Politico-Editoriale
  • La Redazione
  • Registrati
  • Termini e Condizioni
  • Contattaci
  • Lavora con noi
  • Pubblicità
  • Privacy Policy
  • Trattamento Dati
  • Entra
Il Crivello
  • Politica
  • Cronaca
    • Napoli
    • Caserta
    • Salerno
    • Benevento
    • Avellino
  • Inchieste
  • Economia
  • Società
  • Scuola
  • Cultura
    • Letture
    • Arte
    • Fumetti
  • Spettacoli
    • Musica
    • Teatro
    • Cinema
    • Televisione
  • Sport
  • Rubriche
    • LeggiAmo
    • Tech & Digital
    • Salute e Benessere
    • Architettura
    • Nutrizione
  • Registrati
Nessun risultato
Visualizza tutti i risultati
  • Politica
  • Cronaca
    • Napoli
    • Caserta
    • Salerno
    • Benevento
    • Avellino
  • Inchieste
  • Economia
  • Società
  • Scuola
  • Cultura
    • Letture
    • Arte
    • Fumetti
  • Spettacoli
    • Musica
    • Teatro
    • Cinema
    • Televisione
  • Sport
  • Rubriche
    • LeggiAmo
    • Tech & Digital
    • Salute e Benessere
    • Architettura
    • Nutrizione
  • Registrati
Nessun risultato
Visualizza tutti i risultati
Il Crivello
Nessun risultato
Visualizza tutti i risultati
Home Cronaca Caserta

Aggiornamento Covid nel Casertano, il bollettino del 20 agosto: oggi 286 casi

Continua a calare la curva dei contagi da Covid in terra di lavoro. Il rapporto tra positivi e tamponi è al 14,73%

redazione di redazione
20 Agosto 2022
in Caserta, Cronaca

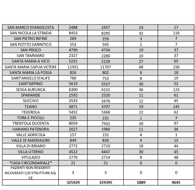
Report Covid-19 – Aggiornato al 20/agosto/2022

Il bollettino quotidiano diffuso oggi dall’Asl di Caserta sull’andamento dell’epidemia di Covid-19 in tutta la provincia evidenzia 2286 nuovi casi positivi al virus su un totale di 1.942 tamponi giornalieri processati dalle strutture distrettuali sanitarie.

Il tasso di positività si attesta 14,73%. Attualmente, in tutto il Casertano, si contano in totale 4.645 persone contagiate dall’infezione virale. Le persone completamente guarite dal Coronavirus invece, risultate quindi negative al doppio tampone dopo aver contratto la malattia, 438. Fortunatamente nelle ultime 24 ore non si registrano decessi provocati dalle complicazioni del Sars-Cov-2.

La città più colpita di tutta la provincia risulta essere Caserta con 353 casi positivi, Aversa con 208, Marcianise con 162, Santa M. C. Vetere con 156, Maddaloni con 153, Mondragone 146, Casal di Principe con 149, Orta Di Atella con 108.

Segue elenco dei dati del bollettino sanitario città per città:

Tags: Covid-19tamponi
CondividiInviaTweet
Articolo precedente

Capri “Premio Faraglioni 2022” al direttore d’orchestra Riccardo Muti

Articolo successivo

Caserta, ragazzo ferito con un coccio di bottiglia al termine di una lite: arrestato un 17enne

Articolo successivo
Quartiere napoletano di Pianura, vasta operazione della polizia: ordinanze a carico di 29 persone (Video e nomi)

Caserta, ragazzo ferito con un coccio di bottiglia al termine di una lite: arrestato un 17enne

Facebook Instagram Youtube Twitter LinkedIn
Il Crivello

Strumento di informazione puntuale, orientato dalla parte dei cittadini e delle associazioni, di quel tessuto sociale che non sempre ha “voce” e, spesso, trova difficoltà ad esprimersi.

Archivi

Link Utili

  • Linea Politico-Editoriale
  • La Redazione
  • Registrati
  • Entra e Invia una notizia
  • Termini e Condizioni
  • Contattaci
  • Lavora con noi
  • Per la tua pubblicità
  • Privacy Policy
  • Trattamento dati personali

© 2021 Il Crivello - Tutti i diritti riservati

Nessun risultato
Visualizza tutti i risultati
  • Politica
  • Cronaca
    • Napoli
    • Caserta
    • Salerno
    • Benevento
    • Avellino
  • Inchieste
  • Economia
  • Società
  • Scuola
  • Cultura
    • Letture
    • Arte
    • Fumetti
  • Spettacoli
    • Musica
    • Teatro
    • Cinema
    • Televisione
  • Sport
  • Rubriche
    • LeggiAmo
    • Tech & Digital
    • Salute e Benessere
    • Architettura
    • Nutrizione
  • Registrati

© 2021 Il Crivello - Tutti i diritti riservati

Questo sito Web utilizza i cookie. Continuando a utilizzare questo sito Web, acconsenti all'utilizzo dei cookie. Visita la nostra Privacy Policy.