• Linea Politico-Editoriale
  • La Redazione
  • Registrati
  • Termini e Condizioni
  • Contattaci
  • Lavora con noi
  • Pubblicità
  • Privacy Policy
  • Trattamento Dati
  • Entra
Il Crivello
  • Politica
  • Cronaca
    • Napoli
    • Caserta
    • Salerno
    • Benevento
    • Avellino
  • Inchieste
  • Economia
  • Società
  • Scuola
  • Cultura
    • Letture
    • Arte
    • Fumetti
  • Spettacoli
    • Musica
    • Teatro
    • Cinema
    • Televisione
  • Sport
  • Rubriche
    • LeggiAmo
    • Tech & Digital
    • Salute e Benessere
    • Architettura
    • Nutrizione
  • Registrati
Nessun risultato
Visualizza tutti i risultati
  • Politica
  • Cronaca
    • Napoli
    • Caserta
    • Salerno
    • Benevento
    • Avellino
  • Inchieste
  • Economia
  • Società
  • Scuola
  • Cultura
    • Letture
    • Arte
    • Fumetti
  • Spettacoli
    • Musica
    • Teatro
    • Cinema
    • Televisione
  • Sport
  • Rubriche
    • LeggiAmo
    • Tech & Digital
    • Salute e Benessere
    • Architettura
    • Nutrizione
  • Registrati
Nessun risultato
Visualizza tutti i risultati
Il Crivello
Nessun risultato
Visualizza tutti i risultati
Home Cronaca Caserta

Aggiornamento Covid nel Casertano, il bollettino del 27 settembre: oggi 372 casi

Si mantiene pressoché stabile il dato relativo ai nuovi casi positivi al Covid riscontrati in terra di lavoro; ormai la situazione sembra essersi consolidata su questi numeri

redazione di redazione
27 Settembre 2022
in Caserta, Cronaca

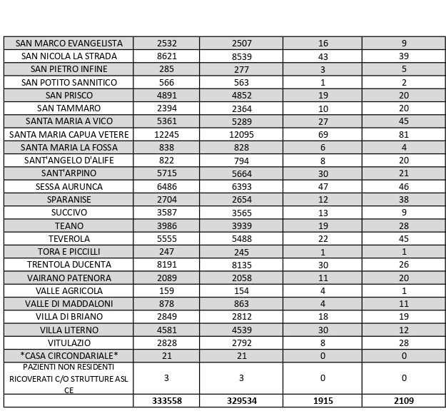
Report Covid-19 – Aggiornato al 27/settembre/2022

Il bollettino quotidiano diffuso oggi dall’Asl di Caserta sull’andamento dell’epidemia di Covid-19 in tutta la provincia evidenzia 372 nuovi casi positivi al virus su un totale di 2.551 tamponi giornalieri processati dalle strutture distrettuali sanitarie.

Il tasso di positività si attesta 14,58%. Attualmente, in tutto il Casertano, si contano in totale 2.109 persone contagiate dall’infezione virale. Le persone completamente guarite dal Coronavirus invece, risultate quindi negative al doppio tampone dopo aver contratto la malattia, sono 349. Fortunatamente nelle ultime 24 ore non si registrano decessi provocati dalle complicazioni del Sars-Cov-2.

La città più colpita di tutta la provincia risulta essere Caserta con 156 casi positivi, Marcianise con 112, Santa M. C. Vetere con 81, Aversa con 76, Casal di Principe con 71 casi. Segue elenco dei dati del bollettino sanitario città per città:

Tags: Covid-19tamponi
CondividiInviaTweet
Articolo precedente

Castello di Cisterna, spari nel cuore della notte: colpi d’arma da fuoco contro un bar

Articolo successivo

Febbre da SuperEnalotto in Italia, in palio il Jackpot più alto della storia: 278,3 milioni di euro

Articolo successivo
Febbre da SuperEnalotto in Italia, in palio il Jackpot più alto della storia: 278,3 milioni di euro

Febbre da SuperEnalotto in Italia, in palio il Jackpot più alto della storia: 278,3 milioni di euro

Facebook Instagram Youtube Twitter LinkedIn
Il Crivello

Strumento di informazione puntuale, orientato dalla parte dei cittadini e delle associazioni, di quel tessuto sociale che non sempre ha “voce” e, spesso, trova difficoltà ad esprimersi.

Archivi

Link Utili

  • Linea Politico-Editoriale
  • La Redazione
  • Registrati
  • Entra e Invia una notizia
  • Termini e Condizioni
  • Contattaci
  • Lavora con noi
  • Per la tua pubblicità
  • Privacy Policy
  • Trattamento dati personali

© 2021 Il Crivello - Tutti i diritti riservati

Nessun risultato
Visualizza tutti i risultati
  • Politica
  • Cronaca
    • Napoli
    • Caserta
    • Salerno
    • Benevento
    • Avellino
  • Inchieste
  • Economia
  • Società
  • Scuola
  • Cultura
    • Letture
    • Arte
    • Fumetti
  • Spettacoli
    • Musica
    • Teatro
    • Cinema
    • Televisione
  • Sport
  • Rubriche
    • LeggiAmo
    • Tech & Digital
    • Salute e Benessere
    • Architettura
    • Nutrizione
  • Registrati

© 2021 Il Crivello - Tutti i diritti riservati

Questo sito Web utilizza i cookie. Continuando a utilizzare questo sito Web, acconsenti all'utilizzo dei cookie. Visita la nostra Privacy Policy.