• Linea Politico-Editoriale
  • La Redazione
  • Registrati
  • Termini e Condizioni
  • Contattaci
  • Lavora con noi
  • Pubblicità
  • Privacy Policy
  • Trattamento Dati
  • Entra
Il Crivello
  • Politica
  • Cronaca
    • Napoli
    • Caserta
    • Salerno
    • Benevento
    • Avellino
  • Inchieste
  • Economia
  • Società
  • Scuola
  • Cultura
    • Letture
    • Arte
    • Fumetti
  • Spettacoli
    • Musica
    • Teatro
    • Cinema
    • Televisione
  • Sport
  • Rubriche
    • LeggiAmo
    • Tech & Digital
    • Salute e Benessere
    • Architettura
    • Nutrizione
  • Registrati
Nessun risultato
Visualizza tutti i risultati
  • Politica
  • Cronaca
    • Napoli
    • Caserta
    • Salerno
    • Benevento
    • Avellino
  • Inchieste
  • Economia
  • Società
  • Scuola
  • Cultura
    • Letture
    • Arte
    • Fumetti
  • Spettacoli
    • Musica
    • Teatro
    • Cinema
    • Televisione
  • Sport
  • Rubriche
    • LeggiAmo
    • Tech & Digital
    • Salute e Benessere
    • Architettura
    • Nutrizione
  • Registrati
Nessun risultato
Visualizza tutti i risultati
Il Crivello
Nessun risultato
Visualizza tutti i risultati
Home Cronaca Caserta

Aggiornamento Covid nel Casertano, il bollettino del 29 luglio: 662 casi e zero decessi

Continua a calare la curva dei contagi da Covid in terra di lavoro dove nelle ultime 24 ore si registrano 662 nuovi casi, per un totale di 13.327

redazione di redazione
29 Luglio 2022
in Caserta, Cronaca

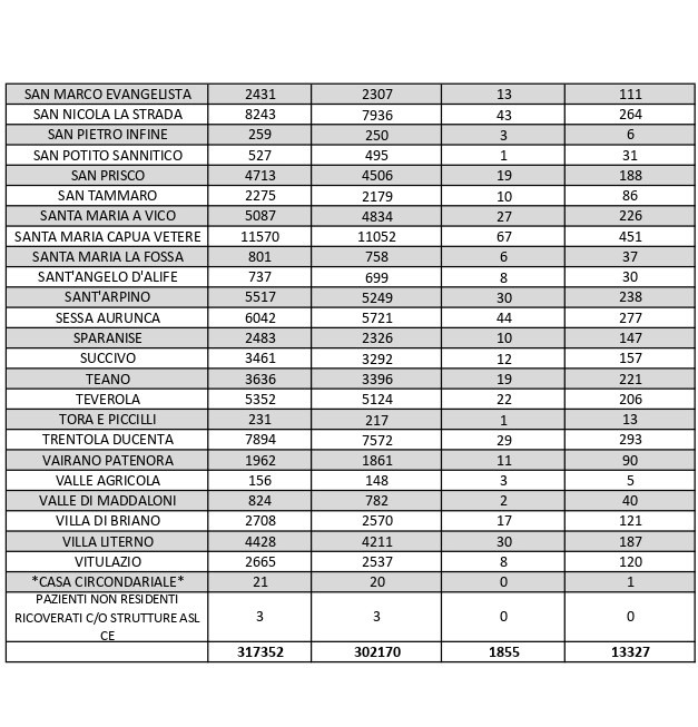
Report Covid-19 – Aggiornato al 29/luglio/2022

Il bollettino quotidiano diffuso oggi dall’Asl di Caserta sull’andamento dell’epidemia di Covid-19 in tutta la provincia evidenzia 662 nuovi casi positivi al virus su un totale di 4.014 tamponi giornalieri processati dalle strutture distrettuali sanitarie.

Il tasso di positività si attesta 16,49%. Attualmente, in tutto il Casertano, si contano in totale 13.327 persone contagiate dall’infezione virale. Le persone completamente guarite dal Coronavirus invece, risultate quindi negative al doppio tampone dopo aver contratto la malattia, 1.013. Fortunatamente nelle ultime 24orenon si registrano decessi provocati dalle complicazioni del Sars-Cov-2.

La città più colpita di tutta la provincia risulta essere Caserta con 1.040 casi positivi, Aversa con 704 Marcianise con 592, Maddaloni con 561, Santa M. C. Vetere con 451, Orta Di Atella con 430, Casal di Principe con 403, Mondragone 362.

Segue elenco dei dati del bollettino sanitario città per città:

Tags: Covid-19tamponi
CondividiInviaTweet
Articolo precedente

Nel casertano, arrestato un giovane pusher sorpreso a spacciare

Articolo successivo

Mondragone, picchia ed estorce denaro alla compagna: 37enne arrestato

Articolo successivo
Riempie di botte la moglie e la figlia: 43enne arrestato nel Nolano

Mondragone, picchia ed estorce denaro alla compagna: 37enne arrestato

Facebook Instagram Youtube Twitter LinkedIn
Il Crivello

Strumento di informazione puntuale, orientato dalla parte dei cittadini e delle associazioni, di quel tessuto sociale che non sempre ha “voce” e, spesso, trova difficoltà ad esprimersi.

Archivi

Link Utili

  • Linea Politico-Editoriale
  • La Redazione
  • Registrati
  • Entra e Invia una notizia
  • Termini e Condizioni
  • Contattaci
  • Lavora con noi
  • Per la tua pubblicità
  • Privacy Policy
  • Trattamento dati personali

© 2021 Il Crivello - Tutti i diritti riservati

Nessun risultato
Visualizza tutti i risultati
  • Politica
  • Cronaca
    • Napoli
    • Caserta
    • Salerno
    • Benevento
    • Avellino
  • Inchieste
  • Economia
  • Società
  • Scuola
  • Cultura
    • Letture
    • Arte
    • Fumetti
  • Spettacoli
    • Musica
    • Teatro
    • Cinema
    • Televisione
  • Sport
  • Rubriche
    • LeggiAmo
    • Tech & Digital
    • Salute e Benessere
    • Architettura
    • Nutrizione
  • Registrati

© 2021 Il Crivello - Tutti i diritti riservati

Questo sito Web utilizza i cookie. Continuando a utilizzare questo sito Web, acconsenti all'utilizzo dei cookie. Visita la nostra Privacy Policy.