Report Covid-19 – Aggiornato al 30/agosto/2022
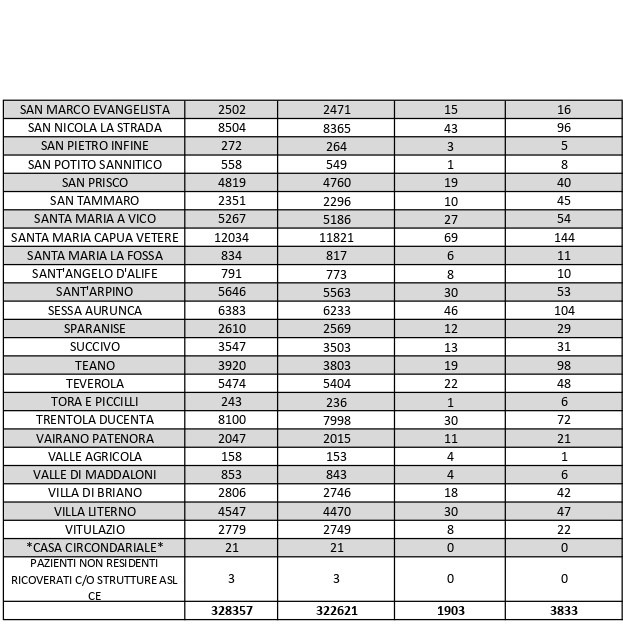
Il bollettino quotidiano diffuso oggi dall’Asl di Caserta sull’andamento dell’epidemia di Covid-19 in tutta la provincia evidenzia 364 nuovi casi positivi al virus su un totale di 2.339 tamponi giornalieri processati dalle strutture distrettuali sanitarie.
Il tasso di positività si attesta 15,56%. Attualmente, in tutto il Casertano, si contano in totale 3.853 persone contagiate dall’infezione virale. Le persone completamente guarite dal Coronavirus invece, risultate quindi negative al doppio tampone dopo aver contratto la malattia, 426. Sfortunatamente nelle ultime 24 ore si registra 1 decesso provocato dalle complicazioni del Sars-Cov-2.
La città più colpita di tutta la provincia risulta essere Caserta con 347 casi positivi, Aversa con 198, Santa M. C. Vetere con 144, Marcianise con 132, Mondragone 121, Maddaloni con 120, Casal di Principe con 101, Orta Di Atella con 75.