• Linea Politico-Editoriale
  • La Redazione
  • Registrati
  • Termini e Condizioni
  • Contattaci
  • Lavora con noi
  • Pubblicità
  • Privacy Policy
  • Trattamento Dati
  • Entra
Il Crivello
  • Politica
  • Cronaca
    • Napoli
    • Caserta
    • Salerno
    • Benevento
    • Avellino
  • Inchieste
  • Economia
  • Società
  • Scuola
  • Cultura
    • Letture
    • Arte
    • Fumetti
  • Spettacoli
    • Musica
    • Teatro
    • Cinema
    • Televisione
  • Sport
  • Rubriche
    • LeggiAmo
    • Tech & Digital
    • Salute e Benessere
    • Architettura
    • Nutrizione
  • Registrati
Nessun risultato
Visualizza tutti i risultati
  • Politica
  • Cronaca
    • Napoli
    • Caserta
    • Salerno
    • Benevento
    • Avellino
  • Inchieste
  • Economia
  • Società
  • Scuola
  • Cultura
    • Letture
    • Arte
    • Fumetti
  • Spettacoli
    • Musica
    • Teatro
    • Cinema
    • Televisione
  • Sport
  • Rubriche
    • LeggiAmo
    • Tech & Digital
    • Salute e Benessere
    • Architettura
    • Nutrizione
  • Registrati
Nessun risultato
Visualizza tutti i risultati
Il Crivello
Nessun risultato
Visualizza tutti i risultati
Home Cronaca Caserta

Aggiornamento Covid nel Casertano, in calo il tasso di incidenza: oggi 1.073 casi

Anche oggi in calo il numero dei contagiati, si contano in totale 21.035 casi positivi in tutta la Provincia di Caserta, 486 casi in meno rispetto al precedente aggiornamento

redazione di redazione
17 Luglio 2022
in Caserta, Cronaca

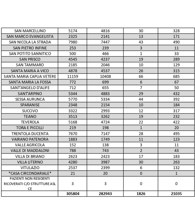
Report Covid-19 – Aggiornato al 17/luglio/2022

Il bollettino quotidiano diffuso oggi dall’Asl di Caserta sull’andamento dell’epidemia di Covid-19 in tutta la provincia evidenzia 1.073 nuovi casi positivi al virus su un totale di 5.842 tamponi giornalieri processati dalle strutture distrettuali sanitarie.

Il tasso di positività si attesta 18,37%. Attualmente, in tutto il Casertano, si contano in totale 21.035 persone contagiate dall’infezione virale. Le persone completamente guarite dal Coronavirus invece, risultate quindi negative al doppio tampone dopo aver contratto la malattia, 1.636. Sfortunatamente nelle ultime 24ore si registrano 2 decessi provocati dalle complicazioni del Sars-Cov-2.

La città più colpita di tutta la provincia risulta essere Caserta con 1.455 casi positivi, Aversa con 1.353 Marcianise con 1.055, Maddaloni con 944, Santa M. C. Vetere con 685, Mondragone 710, Orta Di Atella con 669, Trentola Ducenta con 495, San Nicola La Strada con 490 casi.

Segue elenco dei dati del bollettino sanitario città per città:

Tags: Covid-19tamponi
CondividiInviaTweet
Articolo precedente

Il bacio è terapeutico: un vero toccasana

Articolo successivo

Aversa, aggredisce e poi prova ad accoltellare un’agente della Municipale: arrestato

Articolo successivo
Aversa, aggredisce e poi prova ad accoltellare un’agente della Municipale: arrestato

Aversa, aggredisce e poi prova ad accoltellare un'agente della Municipale: arrestato

Facebook Instagram Youtube Twitter LinkedIn
Il Crivello

Strumento di informazione puntuale, orientato dalla parte dei cittadini e delle associazioni, di quel tessuto sociale che non sempre ha “voce” e, spesso, trova difficoltà ad esprimersi.

Archivi

Link Utili

  • Linea Politico-Editoriale
  • La Redazione
  • Registrati
  • Entra e Invia una notizia
  • Termini e Condizioni
  • Contattaci
  • Lavora con noi
  • Per la tua pubblicità
  • Privacy Policy
  • Trattamento dati personali

© 2021 Il Crivello - Tutti i diritti riservati

Nessun risultato
Visualizza tutti i risultati
  • Politica
  • Cronaca
    • Napoli
    • Caserta
    • Salerno
    • Benevento
    • Avellino
  • Inchieste
  • Economia
  • Società
  • Scuola
  • Cultura
    • Letture
    • Arte
    • Fumetti
  • Spettacoli
    • Musica
    • Teatro
    • Cinema
    • Televisione
  • Sport
  • Rubriche
    • LeggiAmo
    • Tech & Digital
    • Salute e Benessere
    • Architettura
    • Nutrizione
  • Registrati

© 2021 Il Crivello - Tutti i diritti riservati

Questo sito Web utilizza i cookie. Continuando a utilizzare questo sito Web, acconsenti all'utilizzo dei cookie. Visita la nostra Privacy Policy.