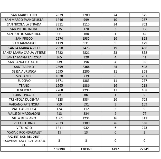
Report Covid-19 – Elaborazione effettuata il 04 febbraio 2022
Il bollettino quotidiano diffuso oggi dall’Asl di Caserta sull’andamento dell’epidemia di Covid-19 in tutta la provincia evidenzia 1.298 nuovi casi positivi al virus su un totale di 10.486 tamponi giornalieri processati dalle strutture distrettuali sanitarie.
Il tasso di positività si attesta al 12,38%. Attualmente, in tutto il Casertano, si contano in totale 27.341 persone contagiate dall’infezione virale. Le persone completamente guarite dal Coronavirus invece, risultate quindi negative al doppio tampone dopo aver contratto la malattia, sono 1.664. Sfortunatamente nelle ultime ventiquattr’ore si registrano 2 decessi provocati dalle complicazioni del Sars-Cov-2.
La città più colpita di tutta la provincia risulta essere Caserta con 2.022 casi positivi al Covid, Aversa con 1.497, Maddaloni con 1.251, Orta di Atella con 1.064, Marcianise con1.073, Casal di Principe con 872, Mondragone con 790, Santa M. C. Vetere con 858. Segue elenco dei dati del bollettino sanitario città per città: