• Linea Politico-Editoriale
  • La Redazione
  • Registrati
  • Termini e Condizioni
  • Contattaci
  • Lavora con noi
  • Pubblicità
  • Privacy Policy
  • Trattamento Dati
  • Entra
Il Crivello
  • Politica
  • Cronaca
    • Napoli
    • Caserta
    • Salerno
    • Benevento
    • Avellino
  • Inchieste
  • Economia
  • Società
  • Scuola
  • Cultura
    • Letture
    • Arte
    • Fumetti
  • Spettacoli
    • Musica
    • Teatro
    • Cinema
    • Televisione
  • Sport
  • Rubriche
    • LeggiAmo
    • Tech & Digital
    • Salute e Benessere
    • Architettura
    • Nutrizione
  • Registrati
Nessun risultato
Visualizza tutti i risultati
  • Politica
  • Cronaca
    • Napoli
    • Caserta
    • Salerno
    • Benevento
    • Avellino
  • Inchieste
  • Economia
  • Società
  • Scuola
  • Cultura
    • Letture
    • Arte
    • Fumetti
  • Spettacoli
    • Musica
    • Teatro
    • Cinema
    • Televisione
  • Sport
  • Rubriche
    • LeggiAmo
    • Tech & Digital
    • Salute e Benessere
    • Architettura
    • Nutrizione
  • Registrati
Nessun risultato
Visualizza tutti i risultati
Il Crivello
Nessun risultato
Visualizza tutti i risultati
Home Cronaca Caserta

Aggiornamento Covid nel Casertano: oggi 1.632 casi positivi e 1 decesso

Continua l’ascesa dei contagi in Terra di Lavoro, le persone attualmente positive sono 12.798. Il tasso di positività si attesta al 19,08%

redazione di redazione
15 Marzo 2022
in Caserta, Cronaca

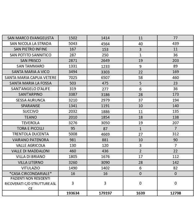
Report Covid-19 – Elaborazione effettuata il 15 marzo 2022

Il bollettino quotidiano diffuso oggi dall’Asl di Caserta sull’andamento dell’epidemia di Covid-19 in tutta la provincia evidenzia 1.632 nuovi casi positivi al virus su un totale di 8.552 tamponi giornalieri processati dalle strutture distrettuali sanitarie.

Il tasso di positività si attesta 19,08%. Attualmente, in tutto il Casertano, si contano in totale 12.798 persone contagiate dall’infezione virale. Le persone completamente guarite dal Coronavirus invece, risultate quindi negative al doppio tampone dopo aver contratto la malattia, sono 819.  Sfortunatamente nelle ultime ventiquattr’ore si registra 1 decesso provocato dalle complicazioni del Sars-Cov-2.

La città più colpita di tutta la provincia risulta essere Caserta con 1.151 casi positivi al Covid, Marcianise con 716, Aversa con 622, Maddaloni con 525, Santa Maria Capua Vetere 460, San Nicola la Strada 439, Orta di Atella con 410, Casal di Principe con 305. Segue elenco dei dati del bollettino sanitario città per città:

Tags: Covid-19tamponi
CondividiInviaTweet
Articolo precedente

Lotta allo spaccio di droga: denunciata una 40enne di Avellino

Articolo successivo

Movida sicura, proseguono a Caserta e Provincia i servizi di controllo delle forze dell’ordine

Articolo successivo
Controlli anti Covid nell’Agro aversano: denunce e sanzioni per i titolari di attività commerciali

Movida sicura, proseguono a Caserta e Provincia i servizi di controllo delle forze dell’ordine

Facebook Instagram Youtube Twitter LinkedIn
Il Crivello

Strumento di informazione puntuale, orientato dalla parte dei cittadini e delle associazioni, di quel tessuto sociale che non sempre ha “voce” e, spesso, trova difficoltà ad esprimersi.

Archivi

Link Utili

  • Linea Politico-Editoriale
  • La Redazione
  • Registrati
  • Entra e Invia una notizia
  • Termini e Condizioni
  • Contattaci
  • Lavora con noi
  • Per la tua pubblicità
  • Privacy Policy
  • Trattamento dati personali

© 2021 Il Crivello - Tutti i diritti riservati

Nessun risultato
Visualizza tutti i risultati
  • Politica
  • Cronaca
    • Napoli
    • Caserta
    • Salerno
    • Benevento
    • Avellino
  • Inchieste
  • Economia
  • Società
  • Scuola
  • Cultura
    • Letture
    • Arte
    • Fumetti
  • Spettacoli
    • Musica
    • Teatro
    • Cinema
    • Televisione
  • Sport
  • Rubriche
    • LeggiAmo
    • Tech & Digital
    • Salute e Benessere
    • Architettura
    • Nutrizione
  • Registrati

© 2021 Il Crivello - Tutti i diritti riservati

Questo sito Web utilizza i cookie. Continuando a utilizzare questo sito Web, acconsenti all'utilizzo dei cookie. Visita la nostra Privacy Policy.