Report Covid-19 – Aggiornato al 29/ottobre/2022
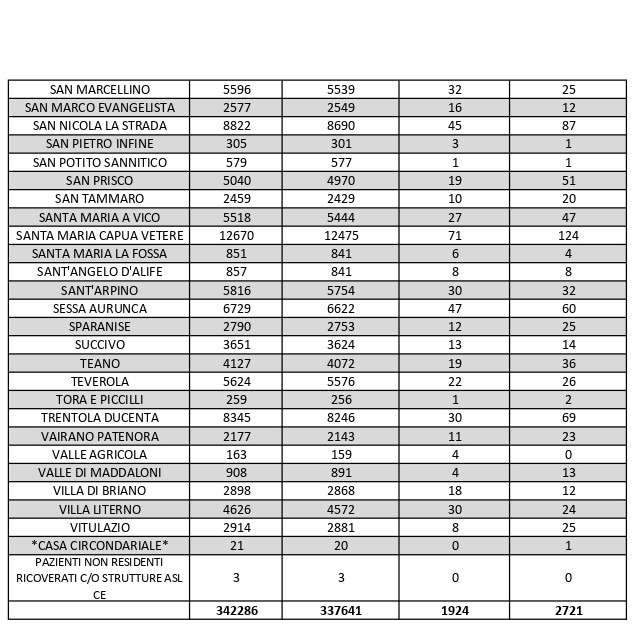
Il bollettino quotidiano diffuso oggi dall’Asl di Caserta sull’andamento dell’epidemia di Covid-19 in tutta la provincia evidenzia 243 nuovi casi positivi al virus su un totale di 1.775 tamponi giornalieri processati dalle strutture distrettuali sanitarie.
Il tasso di positività si 13,69%. Attualmente, in tutto il Casertano, si contano in totale 2.721 persone contagiate dall’infezione virale. Le persone completamente guarite dal Coronavirus invece, risultate quindi negative al doppio tampone dopo aver contratto la malattia, sono 242. Fortunatamente nelle ultime 24 ore non si registrano decessi provocati dalle complicazioni del Sars-Cov-2.
La città più colpita di tutta la provincia risulta essere Caserta con 320 casi positivi, Maddaloni 141, Aversa con 133, Santa M. C. Vetere con 124, Marcianise con 99, Capua 93, San Nicola La Strada con 87. Segue elenco dei dati del bollettino sanitario città per città: