Report Covid-19 – 11 marzo 2022
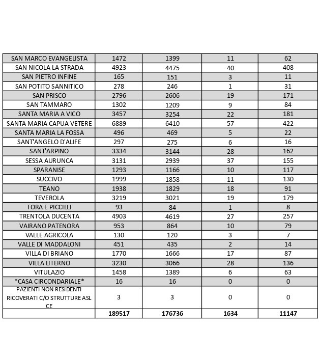
Il bollettino quotidiano diffuso oggi dall’Asl di Caserta sull’andamento dell’epidemia di Covid-19 in tutta la provincia evidenzia 919 nuovi casi positivi al virus su un totale di 5.383 tamponi giornalieri processati dalle strutture distrettuali sanitarie.
Il tasso di positività si attesta al 17,07%. Attualmente, in tutto il Casertano, si contano in totale 11.147 persone contagiate dall’infezione virale. Le persone completamente guarite dal Coronavirus invece, risultate quindi negative al doppio tampone dopo aver contratto la malattia, sono 568. Sfortunatamente nelle ultime ventiquattr’ore si registra 1 decesso provocato dalle complicazioni del Sars-Cov-2.
La città più colpita di tutta la provincia risulta essere Caserta con 1.052 casi positivi al Covid, Marcianise con579, Aversa con 554, Maddaloni con 449, Orta di Atella con 378, Santa M. C. Vetere con 422, Casal di Principe con 234, Trentola con 257. Segue elenco dei dati del bollettino sanitario città per città: