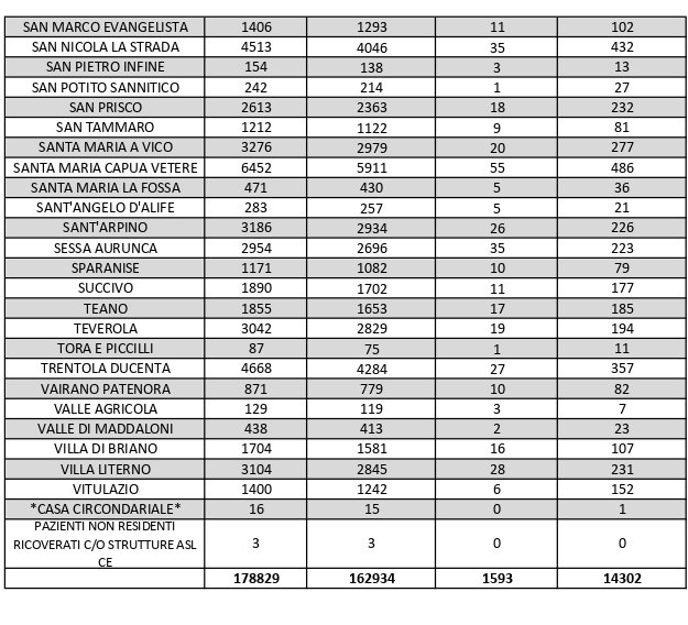
Report Covid-19 – Elaborazione effettuata il 24 febbraio 2022
Il bollettino quotidiano diffuso oggi dall’Asl di Caserta sull’andamento dell’epidemia di Covid-19, negli ultimi 3 giorni, in tutta la provincia 2.532 nuovi casi positivi al virus su un totale 12.846 tamponi processati nelle ultime 72 ore dalle strutture distrettuali sanitarie.
Il tasso di positività si attesta 12,36%. Attualmente, in tutto il Casertano, si contano in totale 14.302 persone contagiate dall’infezione virale. Le persone completamente guarite dal Coronavirus invece, risultate quindi negative al doppio tampone dopo aver contratto la malattia, sono 4.280. Sfortunatamente nelle ultime 72 ore si registrano 10 decessi provocati dalle complicazioni del Sars-Cov-2.
La città più colpita di tutta la provincia risulta essere Caserta con 1.151 casi positivi al Covid, Aversa con 719, Marcianise con731, Maddaloni con 708, Orta di Atella con 482, Santa M. C. Vetere con 486, Trentola 357, Casal di Principe con 394. Segue elenco dei dati del bollettino sanitario città per città del 24 febbraio 2022: