• Linea Politico-Editoriale
  • La Redazione
  • Registrati
  • Termini e Condizioni
  • Contattaci
  • Lavora con noi
  • Pubblicità
  • Privacy Policy
  • Trattamento Dati
  • Entra
Il Crivello
  • Politica
  • Cronaca
    • Napoli
    • Caserta
    • Salerno
    • Benevento
    • Avellino
  • Inchieste
  • Economia
  • Società
  • Scuola
  • Cultura
    • Letture
    • Arte
    • Fumetti
  • Spettacoli
    • Musica
    • Teatro
    • Cinema
    • Televisione
  • Sport
  • Rubriche
    • LeggiAmo
    • Tech & Digital
    • Salute e Benessere
    • Architettura
    • Nutrizione
  • Registrati
Nessun risultato
Visualizza tutti i risultati
  • Politica
  • Cronaca
    • Napoli
    • Caserta
    • Salerno
    • Benevento
    • Avellino
  • Inchieste
  • Economia
  • Società
  • Scuola
  • Cultura
    • Letture
    • Arte
    • Fumetti
  • Spettacoli
    • Musica
    • Teatro
    • Cinema
    • Televisione
  • Sport
  • Rubriche
    • LeggiAmo
    • Tech & Digital
    • Salute e Benessere
    • Architettura
    • Nutrizione
  • Registrati
Nessun risultato
Visualizza tutti i risultati
Il Crivello
Nessun risultato
Visualizza tutti i risultati
Home Cronaca Caserta

Covid-19, crescono i casi nel Casertano: oggi 223 positivi, 58 guariti e 5 morti

Un aumento preoccupante si registra ad Aversa: con 200 contagi attivi, la città normanna è il terzo centro più colpito della provincia dopo Caserta (391) e Maddaloni (294). Seguono Santa Maria Capua Vetere (190), Marcianise (189) e San Felice a Cancello (182)

redazione di redazione
2 Marzo 2021
in Caserta, Cronaca
Campania coronavirus

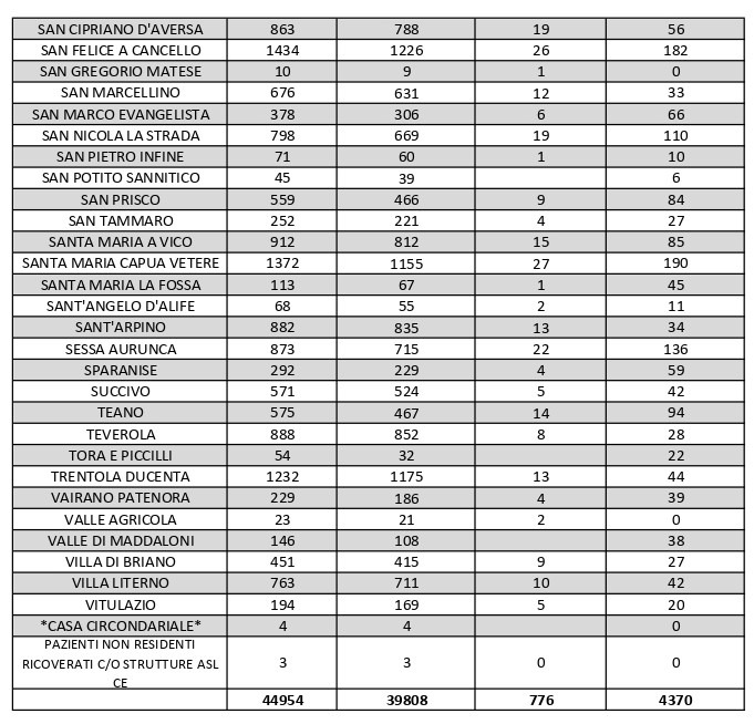
Crescono con una velocità preoccupante i positivi al Covid-19 in provincia di Caserta. Il bollettino quotidiano diffuso oggi dalla Asl locale e aggiornato alle 15 evidenzia che su 2.053 tamponi giornalieri ne sono risultati positivi 223 e ci sono state 58 guarigioni. Nelle scorse ventiquattr’ore, purtroppo, in tutta la provincia sono stati registrati cinque nuovi decessi causati dall’infezione da Covid-19 e dalle sue conseguenze. Il numero complessivo delle morti per Coronavirus in Terra di lavoro dall’inizio della pandemia, dunque, sale da 771 a 776. Nel bollettino odierno, sale il numero di contagi attivi nella città di Caserta, che ne conta attualmente 391. La città col maggiore numero di casi di positività della provincia rimane comunque proprio il capoluogo, seguita da Maddaloni con 294 contagi, Aversa con 200, Santa Maria Capua Vetere con 190, Marcianise con 189 e San Felice a Cancello con 182 casi.

I numeri di Aversa vanno letti tenendo conto anche dei casi dei Comuni limitrofi: le persone attualmente positive sono 24 a Carinaro, 37 a Casaluce, 26 a Cesa, 36 a Gricignano d’Aversa, 82 a Lusciano, 40 a Parete, 33 a San Marcellino, 28 a Teverola e 44 a Trentola Ducenta. Nei centri siti ai margini dell’Agro aversano la situazione è la seguente: Casal di Principe conta 36 contagi, Casapesenna 11, Frignano 19, Orta di Atella 107, San Cipriano d’Aversa  56, Sant’Arpino 34, Succivo 42 e Villa di Briano 27.

Vanno inoltre segnalati i numeri dei contagi attivi relativi ad altri centri del Casertano: ve ne sono 80 a Calvi Risorta, 71 a Capua, 70 a Casagiove, 85 a Castel Volturno, 73 a Macerata Campania, 36 a Mondragone, 70 a Pietramelara, 110 a San Nicola la Strada, 84 a San Prisco, 85 a Santa Maria a Vico, 136 a Sessa Aurunca, 94 a Teano e 42 a Villa Literno.

Segui già la pagina Facebook Il Crivello.it?

Tags: Maddaloni
CondividiInviaTweet
Articolo precedente

Aversa, coppia vittima di rapina ed estorsione: custodia cautelare per due persone

Articolo successivo

Campania, oggi 2.046 nuovi casi di Covid-19 su 15.260 test e 678 guariti

Articolo successivo
coronavirus

Campania, oggi 2.046 nuovi casi di Covid-19 su 15.260 test e 678 guariti

Facebook Instagram Youtube Twitter LinkedIn
Il Crivello

Strumento di informazione puntuale, orientato dalla parte dei cittadini e delle associazioni, di quel tessuto sociale che non sempre ha “voce” e, spesso, trova difficoltà ad esprimersi.

Archivi

Link Utili

  • Linea Politico-Editoriale
  • La Redazione
  • Registrati
  • Entra e Invia una notizia
  • Termini e Condizioni
  • Contattaci
  • Lavora con noi
  • Per la tua pubblicità
  • Privacy Policy
  • Trattamento dati personali

© 2021 Il Crivello - Tutti i diritti riservati

Nessun risultato
Visualizza tutti i risultati
  • Politica
  • Cronaca
    • Napoli
    • Caserta
    • Salerno
    • Benevento
    • Avellino
  • Inchieste
  • Economia
  • Società
  • Scuola
  • Cultura
    • Letture
    • Arte
    • Fumetti
  • Spettacoli
    • Musica
    • Teatro
    • Cinema
    • Televisione
  • Sport
  • Rubriche
    • LeggiAmo
    • Tech & Digital
    • Salute e Benessere
    • Architettura
    • Nutrizione
  • Registrati

© 2021 Il Crivello - Tutti i diritti riservati

Questo sito Web utilizza i cookie. Continuando a utilizzare questo sito Web, acconsenti all'utilizzo dei cookie. Visita la nostra Privacy Policy.