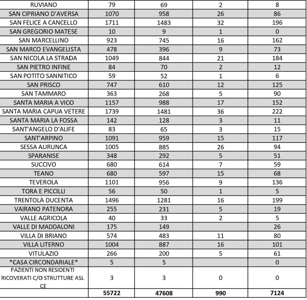
Decresce il numero dei positivi al Covid-19 in provincia di Caserta, a fronte di un maggior numero di test effettuati. Il bollettino quotidiano diffuso oggi dalla Asl locale evidenzia che su 1.844 tamponi giornalieri ne sono risultati positivi 196 e ci sono stati 301 guariti. Nelle scorse ventiquattr’ore, in tutta la provincia, sono stati registrati, purtroppo, 12 decessi causati dall’infezione da Covid-19 e dalle sue conseguenze. Il numero complessivo delle morti per Coronavirus in Terra di lavoro dall’inizio della pandemia passa, dunque, da 978 a 990. Nel bollettino odierno diminuisce leggermente il numero di contagi attivi nella città di Caserta, che ne conta attualmente 606. La città col maggiore numero di casi di positività della provincia rimane ancora il capoluogo, seguita da Marcianise con 484 contagi, Maddaloni con 460, Aversa con 356, Orta di Atella con 274 e Santa Maria Capua Vetere con 222 casi.
I numeri di Aversa vanno letti tenendo conto anche dei casi dei Comuni dell’intero Agro, area densamente popolata con i centri abitati tutti adiacenti tra loro. Questi i dati riferiti alle singole realtà territoriali: le persone attualmente positive sono 38 a Carinaro, 89 a Casaluce, 50 a Cesa, 116 a Gricignano d’Aversa, 134 a Lusciano, 154 a Parete, 162 a San Marcellino, 136 a Teverola e 199 a Trentola Ducenta. Negli altri centri la situazione è la seguente: Casal di Principe conta 159 contagi, Casapesenna 58, Frignano 121, San Cipriano d’Aversa 86, Sant’Arpino 117, Succivo 59, Villa di Briano 80 e Villa Literno 101.





