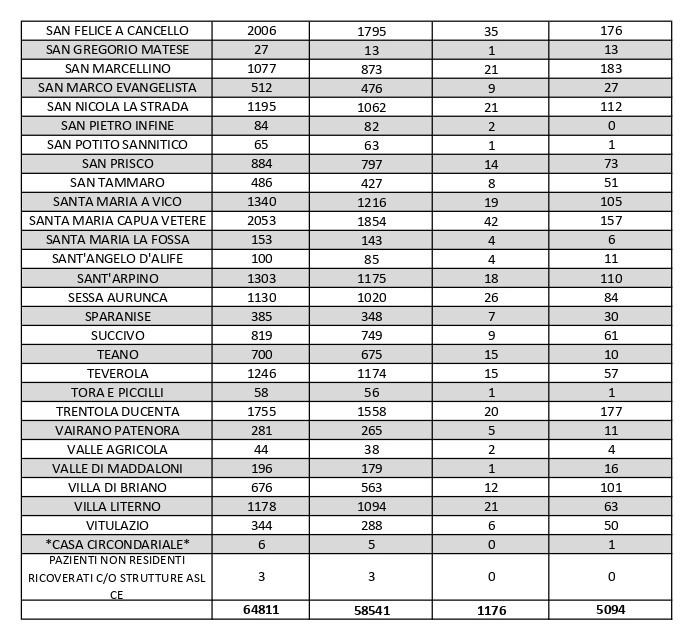
Resta stabile la percentuale dei positivi al Covid-19 in provincia di Caserta, che si attesta al 7,06% rispetto al numero di test effettuati e in confronto al 6,96% di ieri. Il bollettino quotidiano diffuso oggi dalla Asl locale evidenzia che su 2.267 tamponi giornalieri ne sono risultati positivi 160 e ci sono stati 322 guariti. Nelle scorse ventiquattr’ore, in tutta la provincia, sono stati registrati due decessi causati dall’infezione da Covid-19 e dalle sue conseguenze. Il numero complessivo delle morti per Coronavirus in Terra di lavoro dall’inizio della pandemia passa, dunque, da 1.174 a 1.176. Nel bollettino odierno diminuisce di poco anche il numero di contagi attivi nella città di Caserta, che ne conta attualmente 330. La città col maggiore numero di casi di positività della provincia è attualmente Maddaloni con 371 contagi, seguono Marcianise con 358, il capoluogo, Orta di Atella con 188, Aversa con 184 e San Marcellino con 183.
I dati di Aversa vanno letti tenendo conto anche dei casi nei Comuni dell’intero Agro, area densamente popolata con i centri abitati tutti adiacenti tra loro. Questi i dati riferiti alle singole realtà territoriali: le persone attualmente positive sono 46 a Carinaro, 59 a Casaluce, 64 a Cesa, 97 a Gricignano d’Aversa, 151 a Lusciano, 88 a Parete, 57 a Teverola e 177 a Trentola Ducenta. Nei centri siti ai margini dell’Agro aversano la situazione è la seguente: Casal di Principe conta 76 contagi, Casapesenna 27, Frignano 124, San Cipriano d’Aversa 53, Sant’Arpino 110, Succivo 61 e Villa di Briano 101.





