• Linea Politico-Editoriale
  • La Redazione
  • Registrati
  • Termini e Condizioni
  • Contattaci
  • Lavora con noi
  • Pubblicità
  • Privacy Policy
  • Trattamento Dati
  • Entra
Il Crivello
  • Politica
  • Cronaca
    • Napoli
    • Caserta
    • Salerno
    • Benevento
    • Avellino
  • Inchieste
  • Economia
  • Società
  • Scuola
  • Cultura
    • Letture
    • Arte
    • Fumetti
  • Spettacoli
    • Musica
    • Teatro
    • Cinema
    • Televisione
  • Sport
  • Rubriche
    • LeggiAmo
    • Tech & Digital
    • Salute e Benessere
    • Architettura
    • Nutrizione
  • Registrati
Nessun risultato
Visualizza tutti i risultati
  • Politica
  • Cronaca
    • Napoli
    • Caserta
    • Salerno
    • Benevento
    • Avellino
  • Inchieste
  • Economia
  • Società
  • Scuola
  • Cultura
    • Letture
    • Arte
    • Fumetti
  • Spettacoli
    • Musica
    • Teatro
    • Cinema
    • Televisione
  • Sport
  • Rubriche
    • LeggiAmo
    • Tech & Digital
    • Salute e Benessere
    • Architettura
    • Nutrizione
  • Registrati
Nessun risultato
Visualizza tutti i risultati
Il Crivello
Nessun risultato
Visualizza tutti i risultati
Home Cronaca Caserta

Covid-19 nel Casertano, 324 i contagiati su 2.351 test con 246 guarigioni e sette vittime

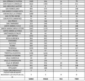
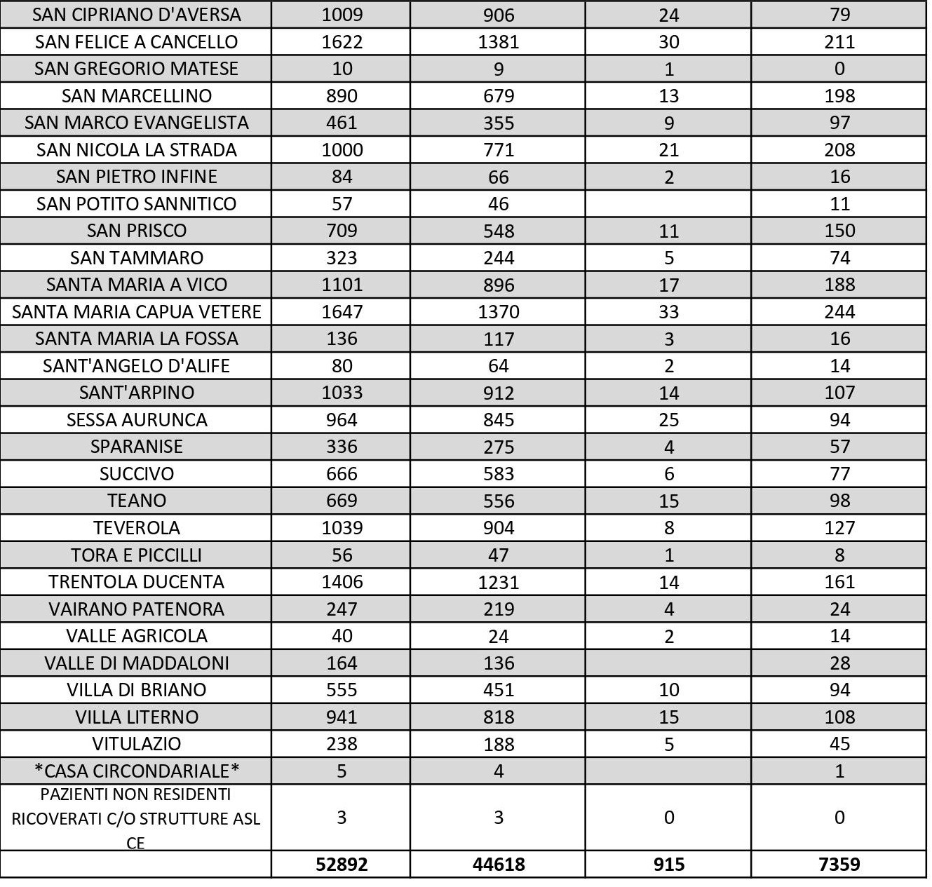
Il centro più colpito resta il capoluogo con 607 positivi. Seguono Maddaloni (525), Marcianise (491), Aversa (313), Orta di Atella (252), Santa Maria Capua Vetere (244). Tutti i dati città per città

redazione di redazione
27 Marzo 2021
in Caserta, Cronaca

Diminuiscono, anche se di poco, i positivi al Covid-19 in provincia di Caserta. Il bollettino quotidiano diffuso oggi dalla Asl locale evidenzia che su 2.351 tamponi giornalieri ne sono risultati positivi 324 e ci sono state 246 guarigioni. Nelle scorse ventiquattr’ore, purtroppo, in tutta la provincia sono stati registrati sette nuovi decessi causati dall’infezione da Covid-19 e dalle sue conseguenze. Il numero complessivo delle morti per Coronavirus in Terra di lavoro dall’inizio della pandemia, dunque, sale da 908 a 915. Nel bollettino odierno, diminuisce anche il numero di contagi attivi nella città di Caserta, che ne conta attualmente 607. La città col maggiore numero di casi di positività della provincia rimane ancora il capoluogo, seguita da Maddaloni con 525 contagi, Marcianise con 491, Aversa con 313, Orta di Atella con 252 e Santa Maria Capua Vetere con 244 casi.

I numeri di Aversa vanno letti tenendo conto anche dei casi dei Comuni dell’intero Agro, area densamente popolata con i centri abitati tutti adiacenti tra loro. Questi i dati riferiti alle singole realtà territoriali: le persone attualmente positive sono 32 a Carinaro, 65 a Casaluce, 54 a Cesa, 126 a Gricignano d’Aversa, 163 a Lusciano, 97 a Parete, 198 a San Marcellino, 127 a Teverola e 161 a Trentola Ducenta. Negli altri centri la situazione è la seguente: Casal di Principe conta 144 contagi, Casapesenna 44, Frignano 99, San Cipriano d’Aversa 79, Sant’Arpino 107, Succivo 77, Villa di Briano 94 e Villa Literno 108.

Al di fuori dell’Agro aversano, vanno segnalati i numeri relativi ad altri grossi centri della provincia, nei quali la situazione dei contagi attivi al momento è la seguente: ve ne sono 128 a Capua, 122 a Casagiove, 113 a Castel Volturno, 51 a Mondragone, 211 a San Felice a Cancello, 208 a San Nicola la Strada, 188 a Santa Maria a Vico, 94 a Sessa Aurunca e 98 a Teano.

Segui già la pagina Facebook Il Crivello.it?                     

CondividiInviaTweet
Articolo precedente

Cava de’ Tirreni, arrestati due uomini per spaccio di droga: usavano un carico di pesce come nascondiglio

Articolo successivo

Calcio, sono undici i calciatori del Napoli convocati nelle rispettive Nazionali: il resoconto dei loro risultati

Articolo successivo
Calcio, sono undici i calciatori del Napoli convocati nelle rispettive Nazionali: il resoconto dei loro risultati

Calcio, sono undici i calciatori del Napoli convocati nelle rispettive Nazionali: il resoconto dei loro risultati

Facebook Instagram Youtube Twitter LinkedIn
Il Crivello

Strumento di informazione puntuale, orientato dalla parte dei cittadini e delle associazioni, di quel tessuto sociale che non sempre ha “voce” e, spesso, trova difficoltà ad esprimersi.

Archivi

Link Utili

  • Linea Politico-Editoriale
  • La Redazione
  • Registrati
  • Entra e Invia una notizia
  • Termini e Condizioni
  • Contattaci
  • Lavora con noi
  • Per la tua pubblicità
  • Privacy Policy
  • Trattamento dati personali

© 2021 Il Crivello - Tutti i diritti riservati

Nessun risultato
Visualizza tutti i risultati
  • Politica
  • Cronaca
    • Napoli
    • Caserta
    • Salerno
    • Benevento
    • Avellino
  • Inchieste
  • Economia
  • Società
  • Scuola
  • Cultura
    • Letture
    • Arte
    • Fumetti
  • Spettacoli
    • Musica
    • Teatro
    • Cinema
    • Televisione
  • Sport
  • Rubriche
    • LeggiAmo
    • Tech & Digital
    • Salute e Benessere
    • Architettura
    • Nutrizione
  • Registrati

© 2021 Il Crivello - Tutti i diritti riservati

Questo sito Web utilizza i cookie. Continuando a utilizzare questo sito Web, acconsenti all'utilizzo dei cookie. Visita la nostra Privacy Policy.