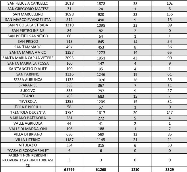
Percentuale dei positivi al Covid-19 in provincia di Caserta pressoché immutata e che si attesta, quindi, al 6,15% in confronto al 6,13 di ieri. Il bollettino quotidiano diffuso oggi dalla Asl locale evidenzia che su 1.333 tamponi giornalieri ne sono risultati positivi 82 e ci sono stati 186 guariti. Nelle scorse ventiquattr’ore, in tutta la provincia, si è registrato un solo decesso causato dall’infezione da Covid-19 e dalle sue conseguenze. Nel bollettino odierno cala il numero di contagi attivi nella città di Caserta, che ne conta attualmente 259. La città col maggior numero di casi di positività della provincia è attualmente Maddaloni con 264 contagi, seguono il capoluogo, Marcianise con 242, San Marcellino con 156, Trentola Ducenta con 147 e Aversa con 127.
I dati di Aversa vanno letti tenendo conto anche dei casi nei Comuni dell’intero Agro, area densamente popolata con i centri abitati tutti adiacenti tra loro. Questi i dati riferiti alle singole realtà territoriali: le persone attualmente positive sono 20 a Carinaro, 29 a Casaluce, 13 a Cesa, 53 a Gricignano d’Aversa, 120 a Lusciano, 79 a Parete, 31 a Teverola. Negli altri centri la situazione è la seguente: Casal di Principe conta 31 contagi, Casapesenna 21, Frignano 107, Orta di Atella 91, San Cipriano d’Aversa 30, Sant’Arpino 61, Succivo 27, Villa di Briano 85 e Villa Literno 21.





