• Linea Politico-Editoriale
  • La Redazione
  • Registrati
  • Termini e Condizioni
  • Contattaci
  • Lavora con noi
  • Pubblicità
  • Privacy Policy
  • Trattamento Dati
  • Entra
Il Crivello
  • Politica
  • Cronaca
    • Napoli
    • Caserta
    • Salerno
    • Benevento
    • Avellino
  • Inchieste
  • Economia
  • Società
  • Scuola
  • Cultura
    • Letture
    • Arte
    • Fumetti
  • Spettacoli
    • Musica
    • Teatro
    • Cinema
    • Televisione
  • Sport
  • Rubriche
    • LeggiAmo
    • Tech & Digital
    • Salute e Benessere
    • Architettura
    • Nutrizione
  • Registrati
Nessun risultato
Visualizza tutti i risultati
  • Politica
  • Cronaca
    • Napoli
    • Caserta
    • Salerno
    • Benevento
    • Avellino
  • Inchieste
  • Economia
  • Società
  • Scuola
  • Cultura
    • Letture
    • Arte
    • Fumetti
  • Spettacoli
    • Musica
    • Teatro
    • Cinema
    • Televisione
  • Sport
  • Rubriche
    • LeggiAmo
    • Tech & Digital
    • Salute e Benessere
    • Architettura
    • Nutrizione
  • Registrati
Nessun risultato
Visualizza tutti i risultati
Il Crivello
Nessun risultato
Visualizza tutti i risultati
Home Cronaca Caserta

Covid-19 nel Casertano: oggi 276 casi su 1.979 test, 289 guariti e un morto

Il centro più colpito resta il capoluogo con 568 contagi. Seguono Marcianise (471), Maddaloni (369), Aversa (351), Orta di Atella (263) e Trentola Ducenta (224). Tutti i dati città per città

redazione di redazione
18 Aprile 2021
in Caserta, Cronaca
Coronavirus

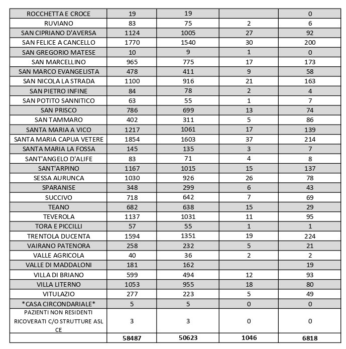
Resta sostanzialmente stabile il numero dei positivi al Covid-19 in provincia di Caserta. Il bollettino quotidiano diffuso oggi dalla Asl locale evidenzia, infatti, che su 1.979 tamponi giornalieri ne sono risultati positivi 276 e ci sono stati 289 guariti. Nelle scorse ventiquattr’ore, in tutta la provincia, è stato registrato, purtroppo, un decesso causato dall’infezione da Covid-19 e dalle sue conseguenze. Il numero complessivo delle morti per Coronavirus in Terra di lavoro dall’inizio della pandemia passa, dunque, da 1.052 a 1.053. Nel bollettino odierno diminuisce anche il numero di contagi attivi nella città di Caserta, che ne conta attualmente 568. La città col maggiore numero di casi di positività della provincia rimane ancora il capoluogo, seguita da Marcianise con 471 contagi, Maddaloni con 369, Aversa con 351, Orta di Atella con 263 e Trentola Ducenta 224.

I numeri di Aversa vanno letti tenendo conto anche dei casi dei Comuni dell’intero Agro, area densamente popolata con i centri abitati tutti adiacenti tra loro. Questi i dati riferiti alle singole realtà territoriali: le persone attualmente positive sono 47 a Carinaro, 68 a Casaluce, 67 a Cesa, 124 a Gricignano d’Aversa, 188 a Lusciano, 169 a Parete, 173 a San Marcellino e 95 a Teverola. Nei centri siti ai margini dell’Agro aversano la situazione è la seguente: Casal di Principe conta 120 contagi, Casapesenna 54, Frignano 163, San Cipriano d’Aversa 92, Sant’Arpino 137, Succivo 69 e Villa di Briano 93.

Vanno inoltre segnalati i numeri dei contagi attivi relativi ad altri centri del Casertano: ve ne sono 13 a Calvi Risorta, 137 a Capua, 93 a Casagiove, 50 a Casapulla, 119 a Castel Volturno, 127 a Macerata Campania, 97 a Mondragone, 200 a San Felice a Cancello, 163 a San Nicola la Strada, 74 a San Prisco, 139 a Santa Maria a Vico, 214 a Santa Maria Capua Vetere, 78 a Sessa Aurunca, 29 a Teano e 80 a Villa Literno.

Segui già la pagina Facebook Il Crivello.it?

Tags: AversaCovid-19Maddaloni
CondividiInviaTweet
Articolo precedente

Tragico incidente a Castel Volturno: morto 16enne

Articolo successivo

La poltrona di Galileo | Di chimere uomo-scimmia e schemi che non sono schemi

Articolo successivo
La poltrona di Galileo | Di chimere uomo-scimmia e schemi che non sono schemi

La poltrona di Galileo | Di chimere uomo-scimmia e schemi che non sono schemi

Facebook Instagram Youtube Twitter LinkedIn
Il Crivello

Strumento di informazione puntuale, orientato dalla parte dei cittadini e delle associazioni, di quel tessuto sociale che non sempre ha “voce” e, spesso, trova difficoltà ad esprimersi.

Archivi

Link Utili

  • Linea Politico-Editoriale
  • La Redazione
  • Registrati
  • Entra e Invia una notizia
  • Termini e Condizioni
  • Contattaci
  • Lavora con noi
  • Per la tua pubblicità
  • Privacy Policy
  • Trattamento dati personali

© 2021 Il Crivello - Tutti i diritti riservati

Nessun risultato
Visualizza tutti i risultati
  • Politica
  • Cronaca
    • Napoli
    • Caserta
    • Salerno
    • Benevento
    • Avellino
  • Inchieste
  • Economia
  • Società
  • Scuola
  • Cultura
    • Letture
    • Arte
    • Fumetti
  • Spettacoli
    • Musica
    • Teatro
    • Cinema
    • Televisione
  • Sport
  • Rubriche
    • LeggiAmo
    • Tech & Digital
    • Salute e Benessere
    • Architettura
    • Nutrizione
  • Registrati

© 2021 Il Crivello - Tutti i diritti riservati

Questo sito Web utilizza i cookie. Continuando a utilizzare questo sito Web, acconsenti all'utilizzo dei cookie. Visita la nostra Privacy Policy.