Covid-19, oggi in Campania 1.098 casi e 1.379 guariti. Altri 12 morti nel Casertano
A livello regionale, sono stati registrati ancora 48 nuovi decessi. In Terra di lavoro, il maggior numero di contagi attualmente c'è a Maddaloni (240), nel capoluogo (204), Marcianise (189), Mondragone (175) e Aversa (120)
È stato pubblicato nel pomeriggio, come ormai da mesi, il bollettino dell’Unità di crisi della protezione civile regionale che monitora i nuovi positivi al Coronavirus in Campania. Rispetto al bollettino di ieri, che su 8.747 test comunicava la presenza di 662 nuovi casi di contagio, nelle scorse ventiquattr’ore altre 1.098 persone sottoposte al test sono risultate positive su un totale di 14.742tamponi laringo-faringei effettuati dalle Asl dislocate sul territorio regionale. Di questi nuovi positivi, 81 sono sintomatici e 1.017 asintomatici.
Sono stati riscontrati, purtroppo, altri 48 decessi (15 deceduti nelle scorse quarantotto ore e 33 in precedenza ma registrati ieri) legati all’infezione respiratoria da Covid-19 e alle sue complicazioni. Pertanto, il numero totale dei deceduti in regione sale a quota 3.257. Invece, sono 1.379le nuove guarigioni registrate. In totale, il numero dei pazienti guariti dall’infezione respiratoria è pari a 127.035. Dall’inizio della pandemia, in Campania ci sono stati 202.552 casi di positività al Coronavirus su un totale di 2.180.945tamponi eseguiti.
Assieme al report quotidiano sui nuovi casi di positività al virus, è stato pubblicato anche il consueto resoconto sulla situazione dei posti letto di degenza ordinaria e di terapia intensiva per i pazienti affetti da Covid-19 nella rete ospedaliera campana. Sui 656 posti letto di terapia intensiva disponibili, 106 sono le postazioni correntemente occupate. Per quanto riguarda i posti letto di degenza ordinaria, invece, su un numero totale pari a 3.160 postazioni disponibili, sono 1.405 i posti letto attualmente occupati.
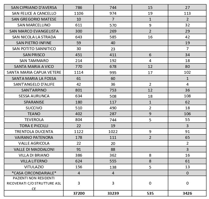
Per quanto riguarda il Casertano, il bollettino quotidiano diffuso dalla Asl di Caserta e aggiornato alle 12 delinea una situazione epidemiologica sostanzialmente stabile: su 2.010 tamponi, infatti, ne sono risultati positivi 155 e vi sono state anche 171 guarigioni. Purtroppo, nelle scorse ventiquattr’ore, in tutta la provincia sono stati registrati 12 nuovi decessi a causa dell’infezione da Covid-19 e delle sue conseguenze. Il numero complessivo delle morti per Coronavirus in Terra di lavoro dall’inizio della pandemia a oggi sale, dunque, da 523 a 535.
Nel bollettino odierno sale di una singola unità il numero di contagi attivi nella città di Caserta, che ne conta attualmente 204. La città col maggiore numero di casi di positività della provincia è Maddaloni, che ne ha 240, ben 24 più di ieri. Alle loro spalle ci sono il capoluogo e Marcianise con 189 contagi (più altri 50 nell’adiacente Capodrise), Mondragone con 175 e Aversa con 120. E gli occhi restano puntati ancora proprio sull’Agro aversano, dove i centri abitati sono tutti adiacenti tra loro e il virus ha ancora una certa diffusione, con dati in saliscendi nelle singole realtà territoriali: Carinaro conta 20 positivi, Casal di Principe 58, Casaluce 32, Casapesenna 12, Cesa 18, Frignano 14, Gricignano d’Aversa 24, Lusciano 57, Orta di Atella 78, Parete 44, San Cipriano d’Aversa 27, San Marcellino 32, Sant’Arpino 36, Succivo 18, Teverola 55, Trentola Ducenta 91 e Villa di Briano 16.
Al di fuori dell’Agro aversano, vanno segnalati i numeri relativi ad altri grossi centri della provincia, nei quali la situazione dei contagi attivi è la seguente: al momento ve ne sono 87 a Capua, 45 a Castel Volturno, 113 a San Felice a Cancello, 80 a Santa Maria a Vico, 102 a Santa Maria Capua Vetere, 108 a Sessa Aurunca, 106 a Teano e 61 a Villa Literno.
Questo sito Web utilizza i cookie. Continuando a utilizzare questo sito Web, acconsenti all'utilizzo dei cookie. Visita la nostra Privacy Policy. Accetto