• Linea Politico-Editoriale
  • La Redazione
  • Registrati
  • Termini e Condizioni
  • Contattaci
  • Lavora con noi
  • Pubblicità
  • Privacy Policy
  • Trattamento Dati
  • Entra
Il Crivello
  • Politica
  • Cronaca
    • Napoli
    • Caserta
    • Salerno
    • Benevento
    • Avellino
  • Inchieste
  • Economia
  • Società
  • Scuola
  • Cultura
    • Letture
    • Arte
    • Fumetti
  • Spettacoli
    • Musica
    • Teatro
    • Cinema
    • Televisione
  • Sport
  • Rubriche
    • LeggiAmo
    • Tech & Digital
    • Salute e Benessere
    • Architettura
    • Nutrizione
  • Registrati
Nessun risultato
Visualizza tutti i risultati
  • Politica
  • Cronaca
    • Napoli
    • Caserta
    • Salerno
    • Benevento
    • Avellino
  • Inchieste
  • Economia
  • Società
  • Scuola
  • Cultura
    • Letture
    • Arte
    • Fumetti
  • Spettacoli
    • Musica
    • Teatro
    • Cinema
    • Televisione
  • Sport
  • Rubriche
    • LeggiAmo
    • Tech & Digital
    • Salute e Benessere
    • Architettura
    • Nutrizione
  • Registrati
Nessun risultato
Visualizza tutti i risultati
Il Crivello
Nessun risultato
Visualizza tutti i risultati
Home Cronaca

Covid-19, oggi in Campania 1.052 casi e 997 guariti. Dieci morti nel Casertano

I tamponi analizzati sul territorio regionale nelle ultime 24 ore sono stati 11.930. La città più colpita della provincia di Caserta è Maddaloni, che conta 244 positivi attivi. Seguono il capoluogo (232) e Aversa (212)

Giuseppe Scuotri di Giuseppe Scuotri
7 Gennaio 2021
in Cronaca

È stato pubblicato nel pomeriggio, come ormai da mesi, il bollettino dell’Unità di crisi della protezione civile regionale che monitora i nuovi positivi al Coronavirus in Campania. Rispetto al bollettino di ieri, che su 17.212 test comunicava la presenza di 1.366 nuovi casi di contagio, nelle scorse ventiquattr’ore altre 1.052 persone sottoposte al test sono risultate positive su un totale di 11.930 tamponi laringo-faringei effettuati dalle Asl dislocate sul territorio regionale. Di questi nuovi positivi, 115 sono sintomatici e 937 asintomatici: una crescita netta rispetto a ieri, pur con molti meno test effettuati e su un conseguente minore numero di positivi.

Sono stati riscontrati, purtroppo, altri 39 decessi (8 deceduti nelle scorse quarantotto ore e 31 in precedenza ma registrati ieri) legati all’infezione respiratoria da Covid-19 e alle sue complicazioni. Pertanto, il numero totale dei deceduti in regione sale a quota 3.033. Invece, sono 997 le nuove guarigioni registrate. In totale, il numero dei pazienti guariti dall’infezione respiratoria è pari a 116.879. Dall’inizio della pandemia, in Campania ci sono stati 196.271 casi di positività al Coronavirus su un totale di 2.108.752 tamponi eseguiti.

Assieme al report quotidiano sui nuovi casi di positività al virus, è stato pubblicato anche il consueto resoconto sulla situazione dei posti letto di degenza ordinaria e di terapia intensiva per i pazienti affetti da Covid-19 nella rete ospedaliera campana. Sui 656 posti letto di terapia intensiva disponibili, 96 sono le postazioni correntemente occupate. Per quanto riguarda i posti letto di degenza ordinaria, invece, su un numero totale pari a 3.160 postazioni disponibili, sono 1.385 i posti letto attualmente occupati.

Per quanto riguarda il Casertano, il bollettino quotidiano diffuso dalla Asl di Caserta e aggiornato alle 14 delinea una situazione sostanzialmente stabile: su 1.740 tamponi, infatti, ne sono risultati positivi 141 e vi sono state anche 219 guarigioni. Purtroppo, nelle scorse ventiquattr’ore, in tutta la provincia sono stati registrati 10 nuovi decessi a causa dell’infezione da Covid-19 e delle sue conseguenze. Il numero complessivo delle morti per Coronavirus in Terra di lavoro dall’inizio della pandemia a oggi sale, dunque, da 472 a 482.

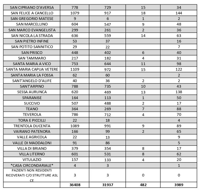
Nel bollettino odierno diminuiscono i contagi attivi nella città di Caserta, che ne conta attualmente 232. La città col maggiore numero di casi di positività attuali in provincia è ancora Maddaloni, che ne ha 244. Alle sue spalle ci sono il capoluogo e poi Aversa con 212 contagi e Marcianise con 204 (più altri 56 nell’adiacente Capodrise). Occhi puntati ancora sull’Agro aversano, dove i centri abitati sono tutti adiacenti tra loro e il virus ha ancora una certa diffusione, con dati in saliscendi nelle singole realtà territoriali: Carinaro conta 27 positivi, Casal di Principe 84, Casaluce 28, Casapesenna 35, Cesa 35, Frignano 23, Gricignano d’Aversa 38, Lusciano 73, Orta di Atella 107, Parete 42, San Cipriano d’Aversa 34, San Marcellino 48, Sant’Arpino 43, Succivo 17, Teverola 70, Trentola Ducenta 89 e Villa di Briano 17.

Al di fuori dell’Agro aversano, oltre ai numeri del capoluogo vanno segnalati quelli relativi almeno agli altri centri più grossi della provincia, nei quali la situazione dei contagi attivi è la seguente: al momento ve ne sono 97 a Capua e 77 a Castel Volturno, 173 a Mondragone, 144 a San Felice a Cancello, 98 a Santa Maria a Vico, 122 a Santa Maria Capua Vetere, 138 a Sessa Aurunca, 88 a Teano e 62 a Villa Literno.

Segui già la pagina Facebook Il Crivello.it?

CondividiInviaTweet
Articolo precedente

Napoli, evade dai domiciliari e aggredisce la polizia: arrestato dopo folle inseguimento

Articolo successivo

Maltrattava e picchiava l’ex fidanzata: in manette 38enne di Crispano

Articolo successivo
Maltrattava e picchiava l’ex fidanzata: in manette 38enne di Crispano

Maltrattava e picchiava l’ex fidanzata: in manette 38enne di Crispano

Facebook Instagram Youtube Twitter LinkedIn
Il Crivello

Strumento di informazione puntuale, orientato dalla parte dei cittadini e delle associazioni, di quel tessuto sociale che non sempre ha “voce” e, spesso, trova difficoltà ad esprimersi.

Archivi

Link Utili

  • Linea Politico-Editoriale
  • La Redazione
  • Registrati
  • Entra e Invia una notizia
  • Termini e Condizioni
  • Contattaci
  • Lavora con noi
  • Per la tua pubblicità
  • Privacy Policy
  • Trattamento dati personali

© 2021 Il Crivello - Tutti i diritti riservati

Nessun risultato
Visualizza tutti i risultati
  • Politica
  • Cronaca
    • Napoli
    • Caserta
    • Salerno
    • Benevento
    • Avellino
  • Inchieste
  • Economia
  • Società
  • Scuola
  • Cultura
    • Letture
    • Arte
    • Fumetti
  • Spettacoli
    • Musica
    • Teatro
    • Cinema
    • Televisione
  • Sport
  • Rubriche
    • LeggiAmo
    • Tech & Digital
    • Salute e Benessere
    • Architettura
    • Nutrizione
  • Registrati

© 2021 Il Crivello - Tutti i diritti riservati

Questo sito Web utilizza i cookie. Continuando a utilizzare questo sito Web, acconsenti all'utilizzo dei cookie. Visita la nostra Privacy Policy.