• Linea Politico-Editoriale
  • La Redazione
  • Registrati
  • Termini e Condizioni
  • Contattaci
  • Lavora con noi
  • Pubblicità
  • Privacy Policy
  • Trattamento Dati
  • Entra
Il Crivello
  • Politica
  • Cronaca
    • Napoli
    • Caserta
    • Salerno
    • Benevento
    • Avellino
  • Inchieste
  • Economia
  • Società
  • Scuola
  • Cultura
    • Letture
    • Arte
    • Fumetti
  • Spettacoli
    • Musica
    • Teatro
    • Cinema
    • Televisione
  • Sport
  • Rubriche
    • LeggiAmo
    • Tech & Digital
    • Salute e Benessere
    • Architettura
    • Nutrizione
  • Registrati
Nessun risultato
Visualizza tutti i risultati
  • Politica
  • Cronaca
    • Napoli
    • Caserta
    • Salerno
    • Benevento
    • Avellino
  • Inchieste
  • Economia
  • Società
  • Scuola
  • Cultura
    • Letture
    • Arte
    • Fumetti
  • Spettacoli
    • Musica
    • Teatro
    • Cinema
    • Televisione
  • Sport
  • Rubriche
    • LeggiAmo
    • Tech & Digital
    • Salute e Benessere
    • Architettura
    • Nutrizione
  • Registrati
Nessun risultato
Visualizza tutti i risultati
Il Crivello
Nessun risultato
Visualizza tutti i risultati
Home Cronaca

Covid-19, oggi in Campania 310 casi e 790 guariti. Numeri stabili nel Casertano

I test analizzati su tutto il territorio regionale, tuttavia, sono stati appena 3.382. La città più colpita della provincia resta Aversa, che conta 403 contagi attivi. Seguono Marcianise (315), Maddaloni (276) e il capoluogo (270)

Giuseppe Scuotri di Giuseppe Scuotri
27 Dicembre 2020
in Cronaca

È stato pubblicato nel pomeriggio, come ormai da mesi, il bollettino dell’Unità di crisi della protezione civile regionale che monitora i nuovi positivi al Coronavirus in Campania. Rispetto al bollettino di ieri, che su 6.448 test comunicava la presenza di 539 nuovi casi di contagio, nelle scorse ventiquattr’ore altre 310 persone sottoposte al test sono risultate positive su un totale di appena 3.382 tamponi laringo-faringei effettuati nel giorno di Natale dalle Asl dislocate sul territorio regionale. Di questi nuovi positivi, 7 sono sintomatici e 303 asintomatici.

Sono stati riscontrati, purtroppo, altri 8 decessi (3 deceduti nelle scorse quarantotto ore e 5 in precedenza ma registrato ieri) legati all’infezione respiratoria da Covid-19 e alle sue complicazioni. Pertanto, il numero totale dei deceduti in regione sale a quota 2.686. Invece, sono 790 le nuove guarigioni registrate. In totale, il numero dei pazienti guariti dall’infezione respiratoria è pari a 103.370. Dall’inizio della pandemia, in Campania ci sono stati 186.131 casi di positività al Coronavirus su un totale di 1.992.877 tamponi eseguiti.

Assieme al report quotidiano sui nuovi casi di positività al virus, è stato pubblicato anche il consueto resoconto sulla situazione dei posti letto di degenza ordinaria e di terapia intensiva per i pazienti affetti da Covid-19 nella rete ospedaliera campana. Sui 656 posti letto di terapia intensiva disponibili, 95 sono le postazioni correntemente occupate. Per quanto riguarda i posti letto di degenza ordinaria, invece, su un numero totale pari a 3.160 postazioni disponibili, sono 1.440 i posti letto attualmente occupati.

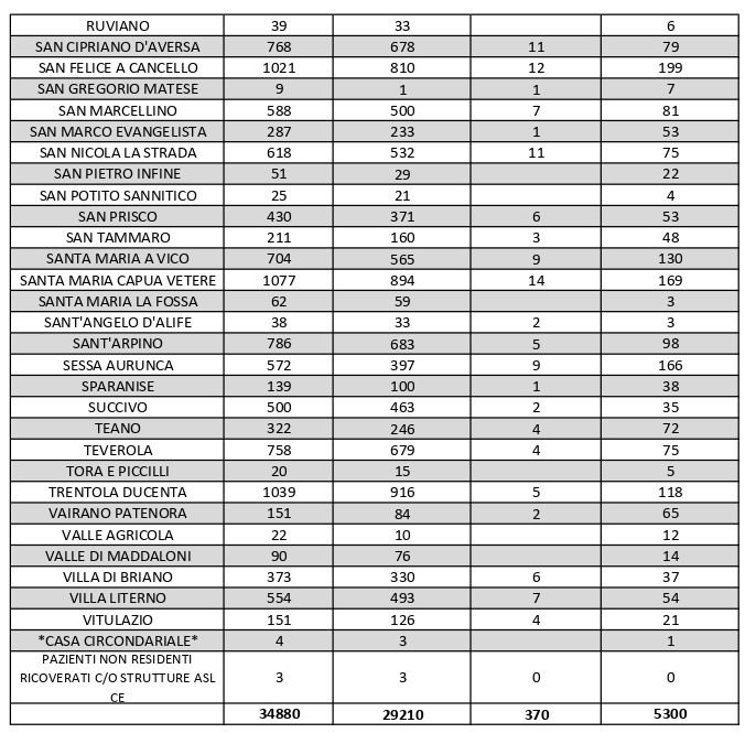
Per quanto riguarda il Casertano, il bollettino quotidiano diffuso dalla Asl di Caserta e aggiornato alle 14 delinea una situazione sostanzialmente stabile, tenendo presente che ieri sono stati effettuati appena 275 tamponi: di questi, ne sono risultati positivi 24 e vi sono state anche 75 guarigioni. Ma si tratta di numeri talmente bassi da risultare francamente poco indicativi. Nelle scorse ventiquattr’ore, comunque, in provincia non sono stati registrati decessi a causa dell’infezione da Covid-19 e delle sue conseguenze. Il numero complessivo delle morti per Coronavirus in Terra di lavoro dall’inizio della pandemia a oggi resta, dunque, anche oggi stabile a 370.

Nel bollettino odierno crescono di cinque unità i contagi attivi nella città di Caserta, che ne conta attualmente 270. La città col maggiore numero di casi di positività in provincia resta, anche oggi, Aversa, che conta attualmente 403 positivi. Alle sue spalle c’è Marcianise, con 315 contagi. Occhi puntati ancora sull’Agro aversano, dove i centri abitati sono tutti adiacenti tra loro e il virus ha ancora una certa diffusione, con dati quasi ovunque in leggero aumento: Carinaro conta 30 positivi, Casal di Principe 131, Casaluce 49, Casapesenna 64, Cesa 47, Frignano 67, Gricignano d’Aversa 59, Lusciano 98, Orta di Atella 170, Parete 37, San Cipriano d’Aversa 79, San Marcellino 81, Sant’Arpino 98, Succivo 35, Teverola 75, Trentola Ducenta 118 e Villa di Briano 37.

Al di fuori dell’Agro aversano, oltre al numero del capoluogo vanno segnalati quelli relativi almeno agli altri centri più grossi della provincia, nei quali la situazione dei contagi attivi è la seguente: al momento ve ne sono 116 a Capua, 142 a Castel Volturno, 276 a Maddaloni, 156 a Mondragone, 199 a San Felice a Cancello, 130 a Santa Maria a Vico, 169 a Santa Maria Capua Vetere, 166 a Sessa Aurunca e 54 a Villa Literno.

Segui già la pagina Facebook Il Crivello.it?

Tags: campania
CondividiInviaTweet
Articolo precedente

Covid-19, De Luca si vaccina ma De Magistris tuona: “Indegno abuso di potere”

Articolo successivo

Tragedia in Irpinia, 15enne cade dalla bicicletta e muore

Articolo successivo
Avellino, dirigente dell’ospedale Moscati accusato di peculato

Tragedia in Irpinia, 15enne cade dalla bicicletta e muore

Facebook Instagram Youtube Twitter LinkedIn
Il Crivello

Strumento di informazione puntuale, orientato dalla parte dei cittadini e delle associazioni, di quel tessuto sociale che non sempre ha “voce” e, spesso, trova difficoltà ad esprimersi.

Archivi

Link Utili

  • Linea Politico-Editoriale
  • La Redazione
  • Registrati
  • Entra e Invia una notizia
  • Termini e Condizioni
  • Contattaci
  • Lavora con noi
  • Per la tua pubblicità
  • Privacy Policy
  • Trattamento dati personali

© 2021 Il Crivello - Tutti i diritti riservati

Nessun risultato
Visualizza tutti i risultati
  • Politica
  • Cronaca
    • Napoli
    • Caserta
    • Salerno
    • Benevento
    • Avellino
  • Inchieste
  • Economia
  • Società
  • Scuola
  • Cultura
    • Letture
    • Arte
    • Fumetti
  • Spettacoli
    • Musica
    • Teatro
    • Cinema
    • Televisione
  • Sport
  • Rubriche
    • LeggiAmo
    • Tech & Digital
    • Salute e Benessere
    • Architettura
    • Nutrizione
  • Registrati

© 2021 Il Crivello - Tutti i diritti riservati

Questo sito Web utilizza i cookie. Continuando a utilizzare questo sito Web, acconsenti all'utilizzo dei cookie. Visita la nostra Privacy Policy.