• Linea Politico-Editoriale
  • La Redazione
  • Registrati
  • Termini e Condizioni
  • Contattaci
  • Lavora con noi
  • Pubblicità
  • Privacy Policy
  • Trattamento Dati
  • Entra
Il Crivello
  • Politica
  • Cronaca
    • Napoli
    • Caserta
    • Salerno
    • Benevento
    • Avellino
  • Inchieste
  • Economia
  • Società
  • Scuola
  • Cultura
    • Letture
    • Arte
    • Fumetti
  • Spettacoli
    • Musica
    • Teatro
    • Cinema
    • Televisione
  • Sport
  • Rubriche
    • LeggiAmo
    • Tech & Digital
    • Salute e Benessere
    • Architettura
    • Nutrizione
  • Registrati
Nessun risultato
Visualizza tutti i risultati
  • Politica
  • Cronaca
    • Napoli
    • Caserta
    • Salerno
    • Benevento
    • Avellino
  • Inchieste
  • Economia
  • Società
  • Scuola
  • Cultura
    • Letture
    • Arte
    • Fumetti
  • Spettacoli
    • Musica
    • Teatro
    • Cinema
    • Televisione
  • Sport
  • Rubriche
    • LeggiAmo
    • Tech & Digital
    • Salute e Benessere
    • Architettura
    • Nutrizione
  • Registrati
Nessun risultato
Visualizza tutti i risultati
Il Crivello
Nessun risultato
Visualizza tutti i risultati
Home Cronaca

Covid-19, oggi in Campania 984 casi e 2.151 guariti. Curva stabile nel Casertano

I test analizzati in tutto il territorio regionale sono stati 8.889. La città più colpita della provincia di Caserta resta Maddaloni, che conta 246 contagi attivi. Seguono il capoluogo (227) e Aversa (203)

Giuseppe Scuotri di Giuseppe Scuotri
8 Gennaio 2021
in Cronaca
Campania coronavirus

È stato pubblicato nel pomeriggio, come ormai da mesi, il bollettino dell’Unità di crisi della protezione civile regionale che monitora i nuovi positivi al Coronavirus in Campania. Rispetto al bollettino di ieri, che su 11.930 test comunicava la presenza di 1.052 nuovi casi di contagio, nelle scorse ventiquattr’ore altre 984 persone sottoposte al test sono risultate positive su un totale di 8.889 tamponi laringo-faringei effettuati dalle Asl dislocate sul territorio regionale. Di questi nuovi positivi, 75 sono sintomatici e 909 asintomatici: una crescita netta rispetto a ieri, pur con molti meno test effettuati e su un conseguente minore numero di positivi.

Sono stati riscontrati, purtroppo, altri 46 decessi (6 deceduti nelle scorse quarantotto ore e 40 in precedenza ma registrati ieri) legati all’infezione respiratoria da Covid-19 e alle sue complicazioni. Pertanto, il numero totale dei deceduti in regione sale a quota 3.079. Invece, sono 2.151 le nuove guarigioni registrate. In totale, il numero dei pazienti guariti dall’infezione respiratoria è pari a 119.030. Dall’inizio della pandemia, in Campania ci sono stati 197.255 casi di positività al Coronavirus su un totale di 2.117.641 tamponi eseguiti.

Assieme al report quotidiano sui nuovi casi di positività al virus, è stato pubblicato anche il consueto resoconto sulla situazione dei posti letto di degenza ordinaria e di terapia intensiva per i pazienti affetti da Covid-19 nella rete ospedaliera campana. Sui 656 posti letto di terapia intensiva disponibili, 100 sono le postazioni correntemente occupate. Per quanto riguarda i posti letto di degenza ordinaria, invece, su un numero totale pari a 3.160 postazioni disponibili, sono 1.395 i posti letto attualmente occupati.

Per quanto riguarda il Casertano, il bollettino quotidiano diffuso dalla Asl di Caserta e aggiornato alle 14 delinea una situazione sostanzialmente stabile: su 1.868 tamponi, infatti, ne sono risultati positivi 154 e vi sono state anche 147 guarigioni. Purtroppo, nelle scorse ventiquattr’ore, in tutta la provincia sono stati registrati 8 nuovi decessi a causa dell’infezione da Covid-19 e delle sue conseguenze. Il numero complessivo delle morti per Coronavirus in Terra di lavoro dall’inizio della pandemia a oggi sale, dunque, da 482 a 490.

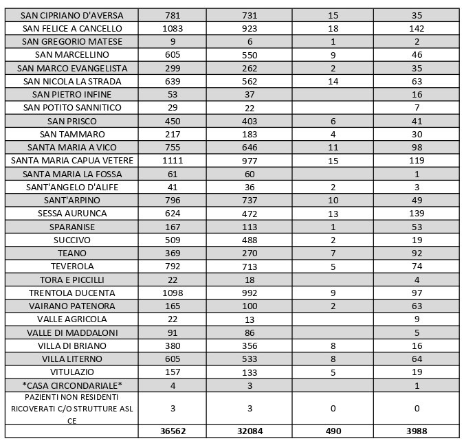
Nel bollettino odierno diminuiscono i contagi attivi nella città di Caserta, che ne conta attualmente 227. La città col maggiore numero di casi di positività attuali in provincia è ancora Maddaloni, che ne ha 246. Alle sue spalle ci sono il capoluogo e poi Aversa con 203 contagi e Marcianise con 201 (più altri 52 nell’adiacente Capodrise). Occhi puntati ancora sull’Agro aversano, dove i centri abitati sono tutti adiacenti tra loro e il virus ha ancora una certa diffusione, con dati in saliscendi nelle singole realtà territoriali: Carinaro conta 27 positivi, Casal di Principe 81, Casaluce 32, Casapesenna 34, Cesa 35, Frignano 23, Gricignano d’Aversa 35, Lusciano 74, Orta di Atella 108, Parete 45, San Cipriano d’Aversa 35, San Marcellino 46, Sant’Arpino 49, Succivo 19, Teverola 74, Trentola Ducenta 97 e Villa di Briano 16.

Al di fuori dell’Agro aversano, oltre ai numeri del capoluogo vanno segnalati quelli relativi almeno agli altri centri più grossi della provincia, nei quali la situazione dei contagi attivi è la seguente: al momento ve ne sono 95 a Capua e 80 a Castel Volturno, 175 a Mondragone, 142 a San Felice a Cancello, 98 a Santa Maria a Vico, 119 a Santa Maria Capua Vetere, 135 a Sessa Aurunca, 92 a Teano e 64 a Villa Literno.

Segui già la pagina Facebook Il Crivello.it?

Tags: campania
CondividiInviaTweet
Articolo precedente

In auto con hashish e cocaina: in manette 27enne a Sant’Antonio Abate

Articolo successivo

Caserta, polizia stradale intercetta e denuncia due pregiudicati sull’A1

Articolo successivo
denunciato trentottenne che denigrava la polizia su Tik Tok

Caserta, polizia stradale intercetta e denuncia due pregiudicati sull’A1

Facebook Instagram Youtube Twitter LinkedIn
Il Crivello

Strumento di informazione puntuale, orientato dalla parte dei cittadini e delle associazioni, di quel tessuto sociale che non sempre ha “voce” e, spesso, trova difficoltà ad esprimersi.

Archivi

Link Utili

  • Linea Politico-Editoriale
  • La Redazione
  • Registrati
  • Entra e Invia una notizia
  • Termini e Condizioni
  • Contattaci
  • Lavora con noi
  • Per la tua pubblicità
  • Privacy Policy
  • Trattamento dati personali

© 2021 Il Crivello - Tutti i diritti riservati

Nessun risultato
Visualizza tutti i risultati
  • Politica
  • Cronaca
    • Napoli
    • Caserta
    • Salerno
    • Benevento
    • Avellino
  • Inchieste
  • Economia
  • Società
  • Scuola
  • Cultura
    • Letture
    • Arte
    • Fumetti
  • Spettacoli
    • Musica
    • Teatro
    • Cinema
    • Televisione
  • Sport
  • Rubriche
    • LeggiAmo
    • Tech & Digital
    • Salute e Benessere
    • Architettura
    • Nutrizione
  • Registrati

© 2021 Il Crivello - Tutti i diritti riservati

Questo sito Web utilizza i cookie. Continuando a utilizzare questo sito Web, acconsenti all'utilizzo dei cookie. Visita la nostra Privacy Policy.