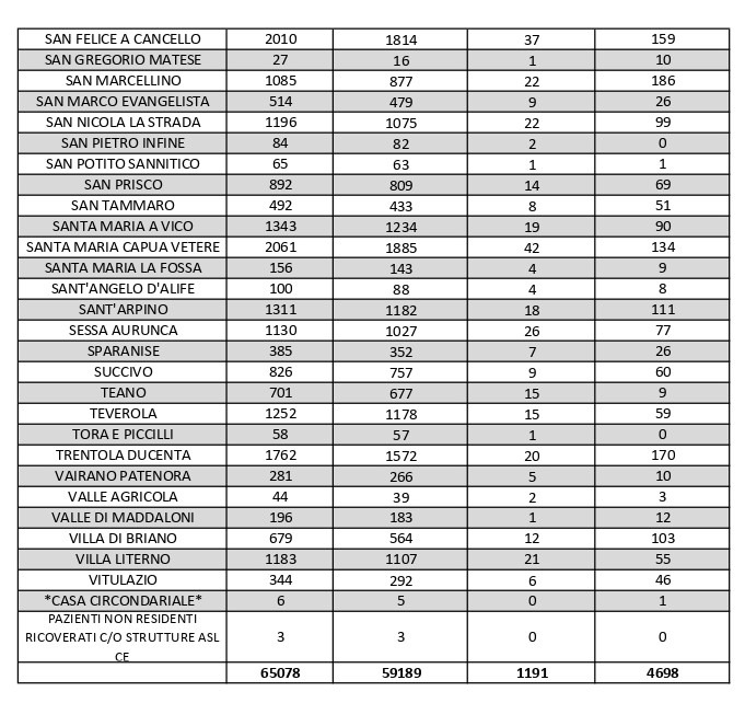
Cala la percentuale dei positivi al Covid-19 in provincia di Caserta, che si attesta al 5,03% rispetto ai test effettuati e in confronto al 5,46 di ieri. Il bollettino quotidiano diffuso oggi dalla Asl locale evidenzia che su 2.087 tamponi giornalieri ne sono risultati positivi 105 e ci sono stati 225 guariti. Nelle scorse ventiquattr’ore, in tutta la provincia, non sono registrati decessi causati dall’infezione da Covid-19 e dalle sue conseguenze. Il numero complessivo delle morti per Coronavirus in Terra di lavoro dall’inizio della pandemia resta a 1.191. Nel bollettino odierno diminuisce anche il numero di contagi attivi nella città di Caserta, che ne conta attualmente 320. La città col maggiore numero di casi di positività della provincia è attualmente Maddaloni con 368 contagi, seguono Marcianise con 323, il capoluogo, San Marcellino con 186, Trentola Ducenta con 170 e Aversa con 164.
I dati di Aversa vanno letti tenendo conto anche dei casi nei Comuni dell’intero Agro, area densamente popolata con i centri abitati tutti adiacenti tra loro. Questi i dati riferiti alle singole realtà territoriali: le persone attualmente positive sono 39 a Carinaro, 55 a Casaluce, 54 a Cesa, 89 a Gricignano d’Aversa, 143 a Lusciano, 90 a Parete e 59 a Teverola. Nei centri siti ai margini dell’Agro aversano la situazione è la seguente: Casal di Principe conta 66 contagi, Casapesenna 21, Frignano 125, San Cipriano d’Aversa 50, Sant’Arpino 111, Succivo 60 e Villa di Briano 103.





