Sostanzialmente stabile la percentuale dei positivi al Covid-19 in provincia di Caserta, che si attesta al 4,30% rispetto al 4,16% di ieri. Il bollettino quotidiano diffuso oggi dalla Asl locale evidenzia che su 791 tamponi giornalieri ne sono risultati positivi 34 ma si sono registrati 292 guariti. Nelli giorni scorsi in tutta la provincia ci sono stati 26 decessi che però sono stati registrati ieri per il Covid-19. Nel bollettino odierno la città di Caserta conta attualmente 73 positivi. La città maggiormente colpita della provincia è tuttavia Maddaloni con 111 contagi, seguita da Marcianise con 105, Capua con 39, Aversa con 36 e Orta di Atella con 24.
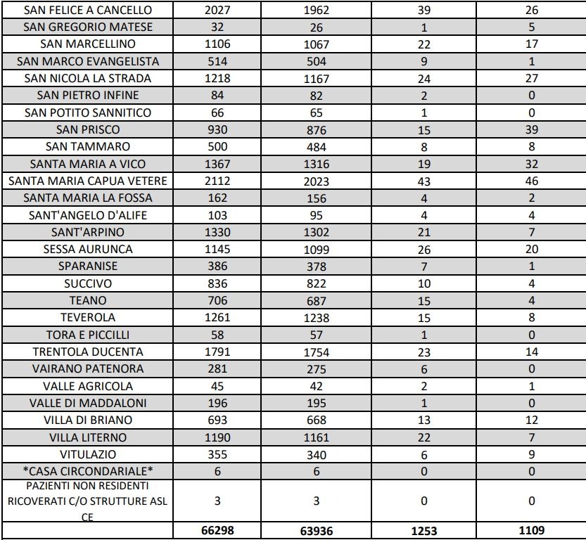
I dati di Aversa vanno letti tenendo conto anche dei casi nei Comuni dell’intero Agro aversano, area densamente popolata con i centri abitati che sono confinanti tra di loro. Questi i dati riferiti alle singole realtà territoriali: le persone attualmente positive sono 4 a Carinaro, 7 a Casaluce, 2 a Cesa, a Gricignano d’Aversa sono 4, a Lusciano 16, a Parete 6 e a Teverola 8. Negli altri centri la situazione è la seguente: Casal di Principe conta 9 contagi, Casapesenna 4, Frignano 12, San Cipriano d’Aversa 6, San Marcellino 17, Sant’Arpino 7, Trentola Ducenta 14, Succivo 4, Villa di Briano 12 e Villa Literno 7. Al di fuori dell’Agro aversano, vanno segnalati i numeri relativi ad altri grossi centri della provincia, nei quali la situazione dei contagi attivi al momento è la seguente: a Casagiove sono 25 , a Castel Volturno 18 , a Mondragone 41 , a San Felice a Cancello sono 26, a San Nicola la Strada 27, a Santa Maria a Vico 32, a Santa Maria Capua Vetere 46 e a Sessa Aurunca 20.
Segui già la tua pagina Facebook il Crivello.it?