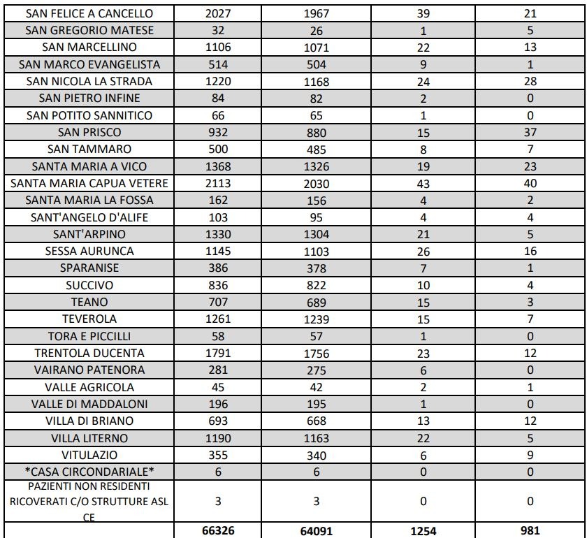
In lievissimo aumento la percentuale dei positivi al Covid-19 in provincia di Caserta, che si attesta al 4,54% rispetto al 4,30% di ieri. Il bollettino quotidiano diffuso oggi dalla Asl locale evidenzia che su 617 tamponi giornalieri ne sono risultati positivi 28 ma si sono registrati 155 guariti. Nelle ultime 24 ore in tutta la provincia 1 decesso per il Covid-19. Nel bollettino odierno la città di Caserta conta attualmente 69 positivi. La città maggiormente colpita della provincia è tuttavia Marcianise con 104 contagi seguita da Maddaloni con 89 , Capua con 31, Aversa con 32 e Orta di Atella con 20.
I dati di Aversa vanno letti tenendo conto anche dei casi nei Comuni dell’intero Agro aversano, area densamente popolata con i centri abitati che sono confinanti tra di loro. Questi i dati riferiti alle singole realtà territoriali: le persone attualmente positive sono 2 a Carinaro, 7 a Casaluce, 2 a Cesa, a Gricignano d’Aversa sono 3, a Lusciano 13 , a Parete 5 e a Teverola 7. Negli altri centri la situazione è la seguente: Casal di Principe conta 8 contagi, Casapesenna 1, Frignano 9, San Cipriano d’Aversa 5, San Marcellino 13, Sant’Arpino 5, Trentola Ducenta 12, Succivo 4, Villa di Briano 12 e Villa Literno 5.





