• Linea Politico-Editoriale
  • La Redazione
  • Registrati
  • Termini e Condizioni
  • Contattaci
  • Lavora con noi
  • Pubblicità
  • Privacy Policy
  • Trattamento Dati
  • Entra
Il Crivello
  • Politica
  • Cronaca
    • Napoli
    • Caserta
    • Salerno
    • Benevento
    • Avellino
  • Inchieste
  • Economia
  • Società
  • Scuola
  • Cultura
    • Letture
    • Arte
    • Fumetti
  • Spettacoli
    • Musica
    • Teatro
    • Cinema
    • Televisione
  • Sport
  • Rubriche
    • LeggiAmo
    • Tech & Digital
    • Salute e Benessere
    • Architettura
    • Nutrizione
  • Registrati
Nessun risultato
Visualizza tutti i risultati
  • Politica
  • Cronaca
    • Napoli
    • Caserta
    • Salerno
    • Benevento
    • Avellino
  • Inchieste
  • Economia
  • Società
  • Scuola
  • Cultura
    • Letture
    • Arte
    • Fumetti
  • Spettacoli
    • Musica
    • Teatro
    • Cinema
    • Televisione
  • Sport
  • Rubriche
    • LeggiAmo
    • Tech & Digital
    • Salute e Benessere
    • Architettura
    • Nutrizione
  • Registrati
Nessun risultato
Visualizza tutti i risultati
Il Crivello
Nessun risultato
Visualizza tutti i risultati
Home Cronaca

Aggiornamento Covid-19 nel Casertano: 135 nuovi casi positivi su 1.837 tamponi processati e 4 decessi

Continua l’ascesa dei contagi in Terra di Lavoro, si contano in totale 3.308 positivi. Sfortunatamente oggi si registrano 4 decessi provocati dalle complicazioni del Covid. Tutti i dati aggiornati città per città

redazione di redazione
7 Dicembre 2021
in Cronaca

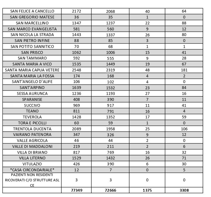
Report Covid-19 – Elaborazione effettuata il 07 dicembre 2021

Il bollettino quotidiano diffuso oggi dall’Asl di Caserta sull’andamento dell’epidemia di Covid-19 in tutta la provincia evidenzia 135 nuovi casi positivi al virus su un totale di 1.837 tamponi giornalieri processati dalle strutture distrettuali sanitarie.

Il tasso di positività si attesta al 7,35%. Attualmente, in tutto il Casertano, si contano in totale 3.308 persone contagiate dall’infezione virale. Le persone completamente guarite dal Coronavirus invece, risultate quindi negative al doppio tampone dopo aver contratto la malattia, sono 101. Sfortunatamente oggi si registrano 4 decessi provocati dalle complicazioni del Sars-Cov-2.

La città più colpita di tutta la provincia risulta essere Aversa con 247 contagiati. Seguono: Caserta con 206 contagiati, Marcianise con 201 contagiati, Santa M. C. Vetere con 181, Maddaloni con 174, Gricignano 108, Trentola Ducenta 106, Villa Literno con 71, Orta di Atella 122, Sant’Arpino con 99, Maddaloni 98, Gricignano con 97, San Marcellino e Lusciano con 88, San Nicola La Strada con 80. A seguire l’elenco riportato.

Ecco i dati del bollettino sanitario città per città:

Tags: Covid-19primopianoprovincia di Casertatamponi
CondividiInviaTweet
Articolo precedente

Aversa, sorpreso con attrezzi atti allo scasso: denunciato 39enne di Cesa

Articolo successivo

Entra in casa della vicina e la massacra di botte: 31enne arrestato nel Napoletano

Articolo successivo
Entra in casa della vicina e la massacra di botte: 31enne arrestato nel Napoletano

Entra in casa della vicina e la massacra di botte: 31enne arrestato nel Napoletano

Facebook Instagram Youtube Twitter LinkedIn
Il Crivello

Strumento di informazione puntuale, orientato dalla parte dei cittadini e delle associazioni, di quel tessuto sociale che non sempre ha “voce” e, spesso, trova difficoltà ad esprimersi.

Archivi

Link Utili

  • Linea Politico-Editoriale
  • La Redazione
  • Registrati
  • Entra e Invia una notizia
  • Termini e Condizioni
  • Contattaci
  • Lavora con noi
  • Per la tua pubblicità
  • Privacy Policy
  • Trattamento dati personali

© 2021 Il Crivello - Tutti i diritti riservati

Nessun risultato
Visualizza tutti i risultati
  • Politica
  • Cronaca
    • Napoli
    • Caserta
    • Salerno
    • Benevento
    • Avellino
  • Inchieste
  • Economia
  • Società
  • Scuola
  • Cultura
    • Letture
    • Arte
    • Fumetti
  • Spettacoli
    • Musica
    • Teatro
    • Cinema
    • Televisione
  • Sport
  • Rubriche
    • LeggiAmo
    • Tech & Digital
    • Salute e Benessere
    • Architettura
    • Nutrizione
  • Registrati

© 2021 Il Crivello - Tutti i diritti riservati

Questo sito Web utilizza i cookie. Continuando a utilizzare questo sito Web, acconsenti all'utilizzo dei cookie. Visita la nostra Privacy Policy.