Report Covid-19 – Aggiornato al 10/settembre/2022
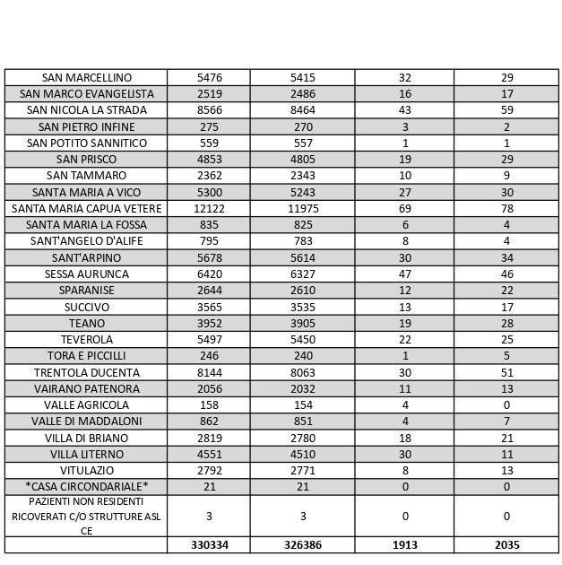
Il bollettino quotidiano diffuso oggi dall’Asl di Caserta sull’andamento dell’epidemia di Covid-19 in tutta la provincia evidenzia 159 nuovi casi positivi al virus su un totale di 1.462tamponi giornalieri processati dalle strutture distrettuali sanitarie.
Il tasso di positività si attesta 10,88%. Attualmente, in tutto il Casertano, si contano in totale 2.035 persone contagiate dall’infezione virale. Le persone completamente guarite dal Coronavirus invece, risultate quindi negative al doppio tampone dopo aver contratto la malattia, 234. Fortunatamente nelle ultime 24 ore non si registrano decessi provocati dalle complicazioni del Sars-Cov-2.
La città più colpita di tutta la provincia risulta essere Caserta con 205 casi positivi, Aversa con 107, Maddaloni con 88, Santa M. C. Vetere con 67, Marcianise con 78, Mondragone 47.