Report Covid-19 – Aggiornato al 12/settembre/2022
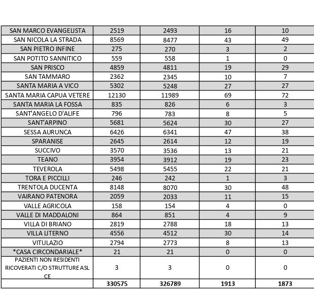
Il bollettino quotidiano diffuso oggi dall’Asl di Caserta sull’andamento dell’epidemia di Covid-19 in tutta la provincia evidenzia 78 nuovi casi positivi al virus su un totale di 675 tamponi giornalieri processati dalle strutture distrettuali sanitarie.
Il tasso di positività si attesta 11,56%. Attualmente, in tutto il Casertano, si contano in totale 1.873persone contagiate dall’infezione virale. Le persone completamente guarite dal Coronavirus invece, risultate quindi negative al doppio tampone dopo aver contratto la malattia, 108. Fortunatamente nelle ultime 24 ore non si registrano decessi provocati dalle complicazioni del Sars-Cov-2.
La città più colpita di tutta la provincia risulta essere Caserta con 188 casi positivi, Aversa con 96, Maddaloni con 89, Santa M. C. Vetere con 72, Marcianise con 67.