Report Covid-19 – Aggiornato al 22/settembre/2022
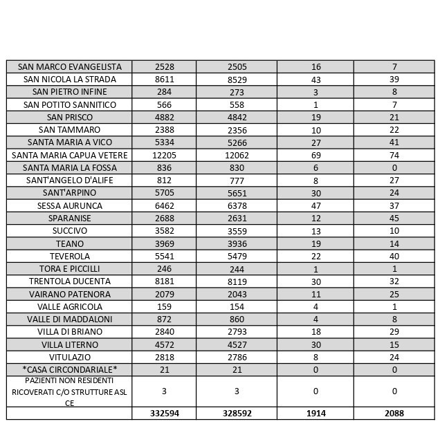
Il bollettino quotidiano diffuso oggi dall’Asl di Caserta sull’andamento dell’epidemia di Covid-19 in tutta la provincia evidenzia 211 nuovi casi positivi al virus su un totale di 1.925 tamponi giornalieri processati dalle strutture distrettuali sanitarie.
Il tasso di positività si attesta 10,96%. Attualmente, in tutto il Casertano, si contano in totale 2.088 persone contagiate dall’infezione virale. Le persone completamente guarite dal Coronavirus invece, risultate quindi negative al doppio tampone dopo aver contratto la malattia,173. Fortunatamente nelle ultime 24 ore non si registrano decessi provocati dalle complicazioni del Sars-Cov-2.
La città più colpita di tutta la provincia risulta essere Caserta con 185 casi positivi, Marcianise con 93, Aversa con 90, Santa M. C. Vetere con 74, Casal di Principe con 71 casi. Segue elenco dei dati del bollettino sanitario città per città: