Report Covid-19 – Aggiornato al 09/maggio/2022
Il bollettino quotidiano diffuso oggi dall’Asl di Caserta sull’andamento dell’epidemia di Covid-19 in tutta la provincia evidenzia 323 nuovi casi positivi al virus su un totale di 1.661 tamponi giornalieri processati dalle strutture distrettuali sanitarie.
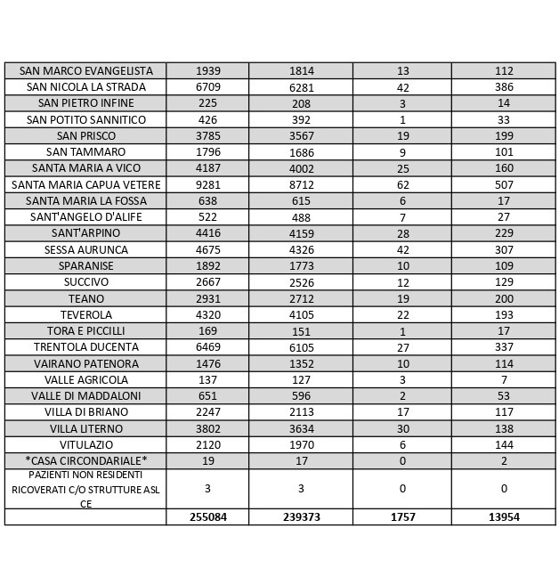
Il tasso di positività si attesta 19,45 Attualmente, in tutto il Casertano, si contano in totale 13.954 persone contagiate dall’infezione virale. Le persone completamente guarite dal Coronavirus invece, risultate quindi negative al doppio tampone dopo aver contratto la malattia, sono 327. Fortunatamente nelle ultime ventiquattr’ore non si registrano decessi provocati dalle complicazioni del Sars-Cov-2.
La città più colpita di tutta la provincia risulta essere Caserta con 1.183 casi positivi, Aversa con 672, Marcianise con 659, Maddaloni con 576, Santa M. C. Vetere con 507, Orta di Atella con 428, San Nicola La Strada con 386, Trentola Ducenta 337, Mondragone 320, Sessa Aurunca 307, Lusciano con 286.