Report Covid-19 – Elaborazione effettuata il 19 marzo 2022
Il bollettino quotidiano diffuso oggi dall’Asl di Caserta sull’andamento dell’epidemia di Covid-19 in tutta la provincia 1.339 nuovi casi positivi al virus su un totale di 6.732 tamponi giornalieri processati dalle strutture distrettuali sanitarie.
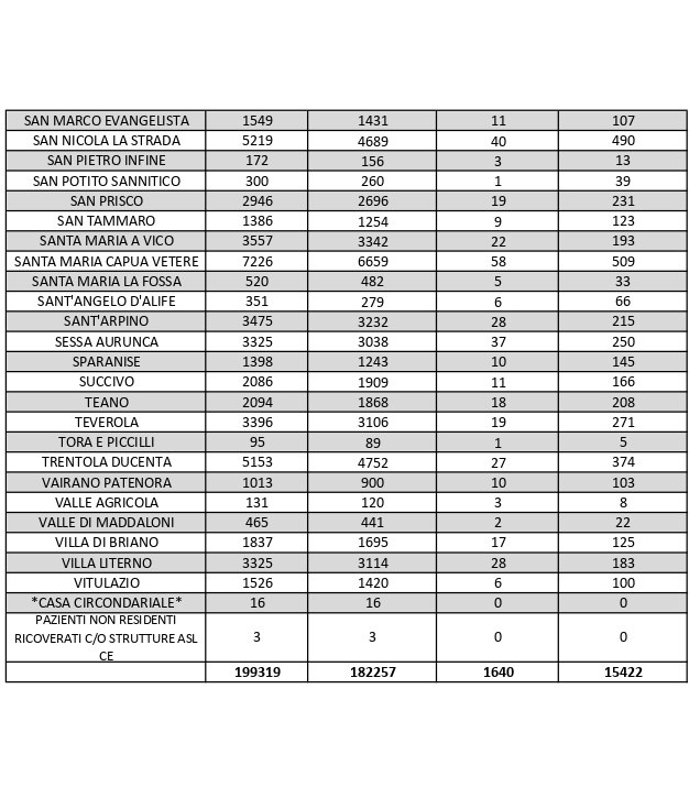
Il tasso di positività si attesta 19,89%. Attualmente, in tutto il Casertano, si contano in totale 15.422 persone contagiate dall’infezione virale. Le persone completamente guarite dal Coronavirus invece, risultate quindi negative al doppio tampone dopo aver contratto la malattia, sono 923. Fortunatamente nelle ultime ventiquattr’ore non si registrano decessi provocato dalle complicazioni del Sars-Cov-2.
La città più colpita di tutta la provincia risulta essere Caserta con 1.368 casi positivi al Covid, Marcianise con 794, Aversa con 768, Maddaloni con 629, Santa Maria Capua Vetere 509, San Nicola la Strada 490, Orta di Atella con 488, Casal di Principe con 381. Segue elenco dei dati del bollettino sanitario città per città: