Continua anche oggi la discesa della curva epidemiologica, consolidatasi nell’ultimo periodo, sia sul territorio della provincia di Caserta sia in tutta la Campania. Stando al bollettino dell’Unità di crisi della protezione civile regionale che monitora i nuovi positivi al Coronavirus in regione, rispetto a ieri, quando su 18.636 test erano stati contati 1.521 nuovi casi di contagio, nelle scorse ventiquattr’ore altre 1.552 persone sottoposte al test sono risultate positive su un totale di 19.313tamponi laringo-faringei effettuati dalle Asl dislocate sul territorio campano. Di questi nuovi positivi, 159 sono sintomatici e 1.393 asintomatici.
Sono stati riscontrati, purtroppo, altri 32 decessi (6 deceduti nelle ultime 48 ore e 26 deceduti in precedenza, ma registrati ieri) legati all’infezione respiratoria da Covid-19 e alle sue complicazioni. Pertanto, il numero totale dei deceduti in regione sale a quota 1.990. Invece, sono 1.638le nuove guarigioni registrate. In totale, il numero dei pazienti guariti dall’infezione respiratoria è pari a 62.060. Dall’inizio della pandemia, in Campania ci sono stati 165.293 casi di positività al Coronavirus su un totale di 1.696.550tamponi eseguiti.
Assieme al report quotidiano sui nuovi casi di positività al virus, è stato pubblicato anche il consueto resoconto sulla situazione dei posti letto di degenza ordinaria e di terapia intensiva per i pazienti affetti da Covid-19 nella rete ospedaliera campana. Sui 656 posti letto di terapia intensiva disponibili, 155 sono le postazioni correntemente occupate. Per quanto riguarda i posti letto di degenza ordinaria, invece, su un numero totale pari a 3.160 postazioni disponibili, sono 1.916 i posti letto attualmente occupati.
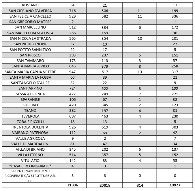
Per quel che riguarda il Casertano, quindi, il bollettino quotidiano diffuso dalla Asl di Caserta e aggiornato alle 14 di oggi fa emergere dati di segno positivo: nelle scorse ventiquattr’ore, infatti, in tutta la provincia sono stati registrati appena tre decessi a causa dell’infezione da Covid-19 e delle sue conseguenze. Il numero complessivo delle morti per Coronavirus in Terra di lavoro dall’inizio della pandemia a oggi sale, dunque, da 311 a 314. Dai rilievi effettuati nella giornata di ieri, sono emersi 309 nuovi positivi su 3.011 tamponi effettuati, con una percentuale quindi in calo e un totale che arriva a 31.306. Vi sono state, per fortuna, ben 724 guarigioni, che fanno ulteriormente calare il numero di coloro che sono attualmente positivi di 418 unità, dagli 11.395 del 4 dicembre ai 10.977 di ieri.
Anche nel bollettino odierno resta il capoluogo Caserta la città col maggiore numero di casi di positività in provincia, 781. Gli occhi restano ancora puntati, in particolare, sull’Agro aversano, dove Aversa fa registrare 738 persone attualmente positive, mentre negli altri centri adiacenti si registrano i seguenti numeri relativi al numero attuale di contagi: Carinaro 95, Casal di Principe 345, Casaluce 126, Casapesenna 108, Cesa 134, Frignano 143, Gricignano d’Aversa 172, Lusciano 233, Orta di Atella 369, Parete 124, San Cipriano d’Aversa 199, San Marcellino 172, Sant’Arpino 199, Succivo 123, Teverola 230, Trentola Ducenta 303, Villa di Briano 137.
Questo sito Web utilizza i cookie. Continuando a utilizzare questo sito Web, acconsenti all'utilizzo dei cookie. Visita la nostra Privacy Policy. Accetto