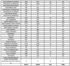
Diminuiscono i positivi al Covid-19 in provincia di Caserta. Il bollettino quotidiano diffuso oggi dalla Asl locale e aggiornato alle 15 evidenzia che su 2.406 tamponi giornalieri ne sono risultati positivi 280 e ci sono state 155 guarigioni. Nelle scorse ventiquattr’ore, purtroppo, in tutta la provincia sono stati registrati nove nuovi decessi causati dall’infezione da Covid-19 e dalle sue conseguenze. Il numero complessivo delle morti per Coronavirus in Terra di lavoro dall’inizio della pandemia, dunque, sale da 872 a 881. Nel bollettino odierno, aumenta il numero di contagi attivi nella città di Caserta, che ne conta attualmente 595. La città col maggiore numero di casi di positività della provincia rimane ancora il capoluogo, seguita da Maddaloni con 516 contagi, Marcianise con 389, Aversa con 358, Santa Maria Capua Vetere con 272 e Orta di Atella con 248 casi.
I numeri di Aversa vanno letti tenendo conto anche dei casi dei Comuni dell’intero Agro, area densamente popolata con i centri abitati tutti adiacenti tra loro. Questi i dati riferiti alle singole realtà territoriali: le persone attualmente positive sono 49 a Carinaro, 76 a Casaluce, 50 a Cesa, 123 a Gricignano d’Aversa, 149 a Lusciano, 93 a Parete, 133 a San Marcellino, 86 a Teverola e 118 a Trentola Ducenta. Negli altri centri la situazione è la seguente: Casal di Principe conta 154 contagi, Casapesenna 54, Frignano 58, San Cipriano d’Aversa 104, Sant’Arpino 98, Succivo 76, Villa di Briano 73 e Villa Literno 116.





