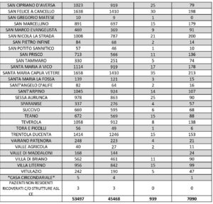
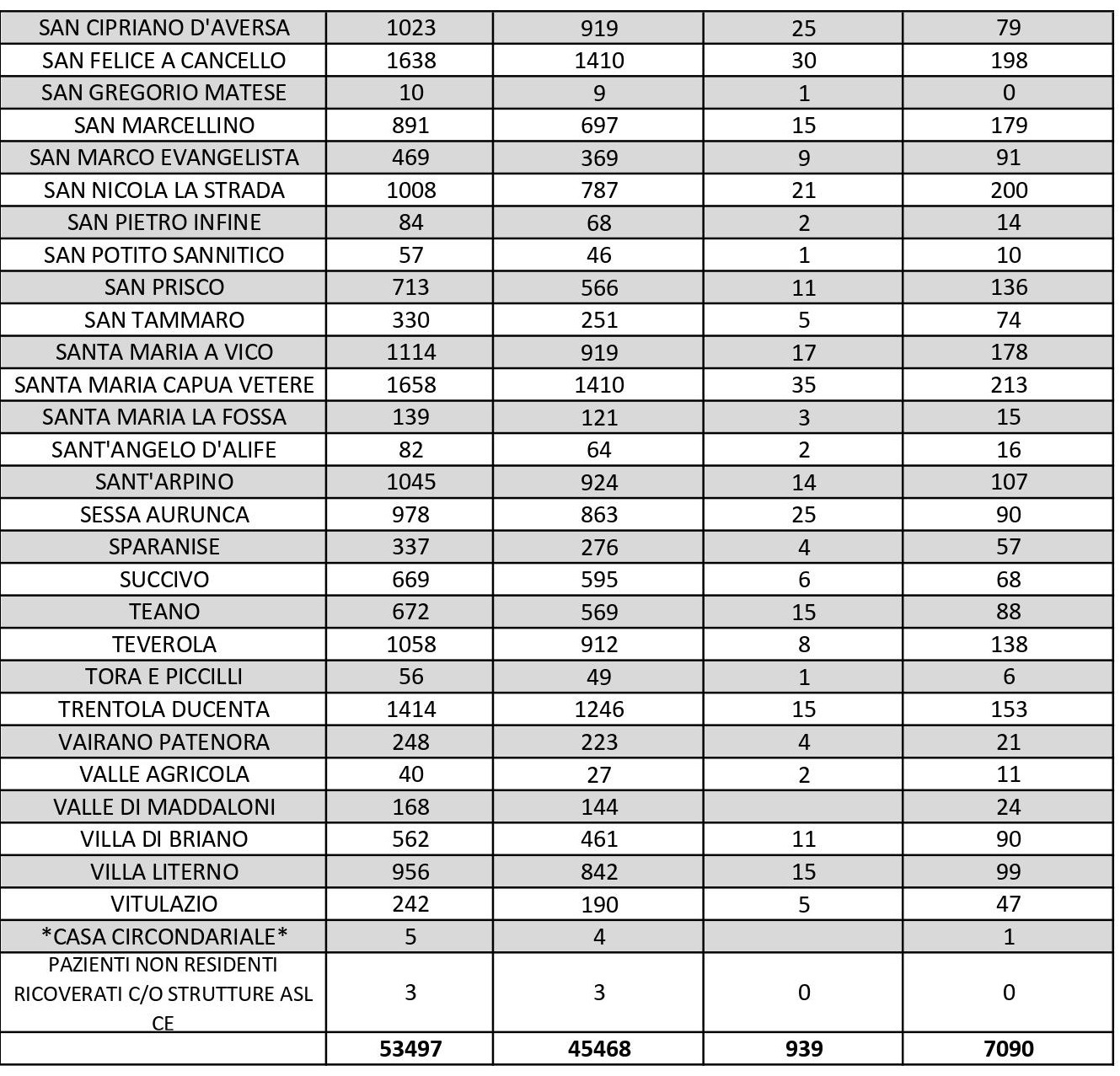
Aumentano i positivi al Covid-19 in provincia di Caserta. Il bollettino quotidiano diffuso oggi dalla Asl locale evidenzia che su 1.776 tamponi giornalieri ne sono risultati positivi 167 e ci sono state 193 guarigioni. Nelle scorse ventiquattr’ore, in tutta la provincia, sono state registrati, purtroppo, 11 decessi causati dall’infezione da Covid-19 e dalle sue conseguenze. Il numero complessivo delle morti per Coronavirus in Terra di lavoro dall’inizio della pandemia, dunque, sale da 928 a 939. Nel bollettino odierno aumenta leggermente il numero di contagi attivi nella città di Caserta, che ne conta attualmente 598. La città col maggiore numero di casi di positività della provincia rimane ancora il capoluogo, seguita da Maddaloni con 518 contagi, Marcianise con 492, Aversa con 308, Orta di Atella con 241 e Santa Maria Capua Vetere con 213 casi.
I numeri di Aversa vanno letti tenendo conto anche dei casi dei Comuni dell’intero Agro, area densamente popolata con i centri abitati tutti adiacenti tra loro. Questi i dati riferiti alle singole realtà territoriali: le persone attualmente positive sono 31 a Carinaro, 66 a Casaluce, 49 a Cesa, 120 a Gricignano d’Aversa, 155 a Lusciano, 101 a Parete, 179 a San Marcellino, 138 a Teverola e 153 a Trentola Ducenta. Negli altri centri la situazione è la seguente: Casal di Principe conta 133 contagi, Casapesenna 36, Frignano 97, San Cipriano d’Aversa 79, Sant’Arpino 107, Succivo 68, Villa di Briano 90 e Villa Literno 99.





