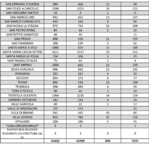
Crescono i positivi al Covid-19 in provincia di Caserta. Il bollettino quotidiano diffuso oggi dalla Asl locale evidenzia che su 2.046 tamponi giornalieri ne sono risultati positivi 263 e ci sono state 176 guarigioni. Nelle scorse ventiquattr’ore, purtroppo, in tutta la provincia sono stati registrati sette nuovi decessi causati dall’infezione da Covid-19 e dalle sue conseguenze. Il numero complessivo delle morti per Coronavirus in Terra di lavoro dall’inizio della pandemia, dunque, sale da 889 a 896. Nel bollettino odierno, aumenta anche il numero di contagi attivi nella città di Caserta, che ne conta attualmente 603. La città col maggiore numero di casi di positività della provincia rimane ancora il capoluogo, seguita da Maddaloni con 506 contagi, Marcianise con 441, Aversa con 322, Santa Maria Capua Vetere con 252 e Orta di Atella con 236 casi.
I numeri di Aversa vanno letti tenendo conto anche dei casi dei Comuni dell’intero Agro, area densamente popolata con i centri abitati tutti adiacenti tra loro. Questi i dati riferiti alle singole realtà territoriali: le persone attualmente positive sono 37 a Carinaro, 76 a Casaluce, 45 a Cesa, 120 a Gricignano d’Aversa, 162 a Lusciano, 80 a Parete, 167 a San Marcellino, 99 a Teverola e 134 a Trentola Ducenta. Negli altri centri la situazione è la seguente: Casal di Principe conta 159 contagi, Casapesenna 51, Frignano 78, San Cipriano d’Aversa 98, Sant’Arpino 100, Succivo 77, Villa di Briano 86 e Villa Literno 116.





