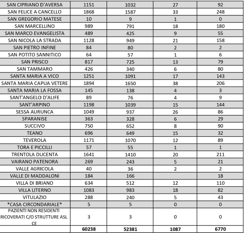
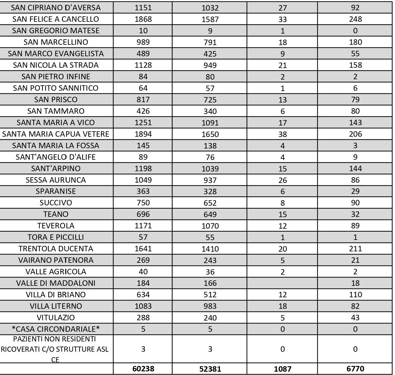
Aumenta la percentuale dei positivi al Covid-19 in provincia di Caserta, che si attesta all’12,94% rispetto al numero di test effettuati e in confronto al 10,37% di ieri. Il bollettino quotidiano diffuso oggi dalla Asl locale evidenzia che su 2.820 tamponi giornalieri ne sono risultati positivi 365 e ci sono stati 193 guariti. Nelle scorse ventiquattr’ore, in tutta la provincia, non è stato registrato alcun decesso causato dall’infezione da Covid-19 e dalle sue conseguenze. Il numero complessivo delle morti per Coronavirus in Terra di lavoro dall’inizio della pandemia rimane fermo, dunque, a 1.087. Nel bollettino odierno diminuisce anche il numero di contagi attivi nella città di Caserta, che ne conta attualmente 481. La città col maggiore numero di casi di positività della provincia rimane ancora il capoluogo, seguita da Marcianise con 447 contagi, Maddaloni con 404, Aversa con 337, Orta di Atella con 291 e San Felice a Cancello 248.
I numeri di Aversa vanno letti tenendo conto anche dei casi dei Comuni dell’intero Agro, area densamente popolata con i centri abitati tutti adiacenti tra loro. Questi i dati riferiti alle singole realtà territoriali: le persone attualmente positive sono 65 a Carinaro, 63 a Casaluce, 93 a Cesa, 136 a Gricignano d’Aversa, 222 a Lusciano, 125 a Parete, 180 a San Marcellino, 89 a Teverola e 211 a Trentola Ducenta. Negli altri centri la situazione è la seguente: Casal di Principe conta 122 contagi, Casapesenna 47, Frignano 150, San Cipriano d’Aversa 92, Sant’Arpino 144, Succivo 90, Villa di Briano 110 e Villa Literno 82.





