• Linea Politico-Editoriale
  • La Redazione
  • Registrati
  • Termini e Condizioni
  • Contattaci
  • Lavora con noi
  • Pubblicità
  • Privacy Policy
  • Trattamento Dati
  • Entra
Il Crivello
  • Politica
  • Cronaca
    • Napoli
    • Caserta
    • Salerno
    • Benevento
    • Avellino
  • Inchieste
  • Economia
  • Società
  • Scuola
  • Cultura
    • Letture
    • Arte
    • Fumetti
  • Spettacoli
    • Musica
    • Teatro
    • Cinema
    • Televisione
  • Sport
  • Rubriche
    • LeggiAmo
    • Tech & Digital
    • Salute e Benessere
    • Architettura
    • Nutrizione
  • Registrati
Nessun risultato
Visualizza tutti i risultati
  • Politica
  • Cronaca
    • Napoli
    • Caserta
    • Salerno
    • Benevento
    • Avellino
  • Inchieste
  • Economia
  • Società
  • Scuola
  • Cultura
    • Letture
    • Arte
    • Fumetti
  • Spettacoli
    • Musica
    • Teatro
    • Cinema
    • Televisione
  • Sport
  • Rubriche
    • LeggiAmo
    • Tech & Digital
    • Salute e Benessere
    • Architettura
    • Nutrizione
  • Registrati
Nessun risultato
Visualizza tutti i risultati
Il Crivello
Nessun risultato
Visualizza tutti i risultati
Home Cronaca Caserta

Covid-19 nel Casertano, 132 casi su 2.238 test effettuati con 251 guariti e una sola vittima

Cala il tasso di contagio (5,9%). Il centro più colpito è Maddaloni con 419 positivi. Seguono il capoluogo (386), Marcianise (381), Orta di Atella (285) e Aversa (240). Tutti i dati città per città

redazione di redazione
9 Maggio 2021
in Caserta, Cronaca
positiva Covid

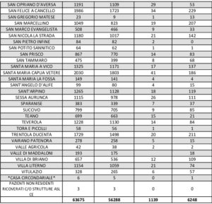
Cala ancora la percentuale dei positivi al Covid-19 in provincia di Caserta, che si attesta al 5,9% rispetto al numero di test effettuati e in confronto al 7,52 di ieri. Il bollettino quotidiano diffuso oggi dalla Asl locale evidenzia che su 2.238 tamponi giornalieri ne sono risultati positivi 132 e ci sono stati 251 guariti. Nelle scorse ventiquattr’ore, in tutta la provincia, è stato registrato un solo decesso causati dall’infezione da Covid-19 e dalle sue conseguenze. Il numero complessivo delle morti per Coronavirus in Terra di lavoro dall’inizio della pandemia passa, dunque, da 1.138 a 1.139. Nel bollettino odierno aumenta, però, il numero di contagi attivi nella città di Caserta, che ne conta attualmente 386. La città col maggiore numero di casi di positività della provincia è attualmente Maddaloni con 419 contagi, seguono il capoluogo, Marcianise con 381, Orta di Atella con 285, Aversa con 240 e San Felice a Cancello con 229.

I numeri di Aversa vanno letti tenendo conto anche dei casi dei Comuni dell’intero Agro, area densamente popolata con i centri abitati tutti adiacenti tra loro. Questi i dati riferiti alle singole realtà territoriali: le persone attualmente positive sono 63 a Carinaro, 71 a Casaluce, 91 a Cesa, 130 a Gricignano d’Aversa, 194 a Lusciano, 117 a Parete, 207 a San Marcellino, 84 a Teverola e 211 a Trentola Ducenta. Negli altri centri la situazione è la seguente: Casal di Principe conta 111 contagi, Casapesenna 41, Frignano 155, San Cipriano d’Aversa 53, Sant’Arpino 119, Succivo 85, Villa di Briano 109 e Villa Literno 74.

Al di fuori dell’Agro aversano, vanno segnalati i numeri relativi ad altri grossi centri della provincia, nei quali la situazione dei contagi attivi al momento è la seguente: ve ne sono 108 a Capua, 83 a Casagiove, 108 a Castel Volturno, 148 a Mondragone, 142 a San Nicola la Strada, 137 a Santa Maria a Vico, 186 a Santa Maria Capua Vetere, 111 a Sessa Aurunca e 21 a Teano.

Segui già la pagina Facebook Il Crivello.it?

Tags: Covid-19provincia di Casertatop
CondividiInviaTweet
Articolo precedente

“Governance – il prezzo del potere”: il lato oscuro del dominio oltre i limiti della legge (Video)

Articolo successivo

Controlli e sanzioni nel centro storico di Napoli dopo le 22: 250 giovani allontanati in largo Banchi Nuovi

Articolo successivo
controlli

Controlli e sanzioni nel centro storico di Napoli dopo le 22: 250 giovani allontanati in largo Banchi Nuovi

Facebook Instagram Youtube Twitter LinkedIn
Il Crivello

Strumento di informazione puntuale, orientato dalla parte dei cittadini e delle associazioni, di quel tessuto sociale che non sempre ha “voce” e, spesso, trova difficoltà ad esprimersi.

Archivi

Link Utili

  • Linea Politico-Editoriale
  • La Redazione
  • Registrati
  • Entra e Invia una notizia
  • Termini e Condizioni
  • Contattaci
  • Lavora con noi
  • Per la tua pubblicità
  • Privacy Policy
  • Trattamento dati personali

© 2021 Il Crivello - Tutti i diritti riservati

Nessun risultato
Visualizza tutti i risultati
  • Politica
  • Cronaca
    • Napoli
    • Caserta
    • Salerno
    • Benevento
    • Avellino
  • Inchieste
  • Economia
  • Società
  • Scuola
  • Cultura
    • Letture
    • Arte
    • Fumetti
  • Spettacoli
    • Musica
    • Teatro
    • Cinema
    • Televisione
  • Sport
  • Rubriche
    • LeggiAmo
    • Tech & Digital
    • Salute e Benessere
    • Architettura
    • Nutrizione
  • Registrati

© 2021 Il Crivello - Tutti i diritti riservati

Questo sito Web utilizza i cookie. Continuando a utilizzare questo sito Web, acconsenti all'utilizzo dei cookie. Visita la nostra Privacy Policy.