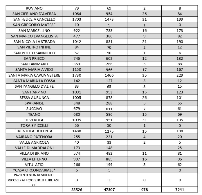
Nel giorno di Pasqua cala notevolmente il numero dei positivi al Covid-19 in provincia di Caserta, a fronte di una diminuzione anche dei test effettuati. Il bollettino quotidiano diffuso oggi dalla Asl locale evidenzia che su 730 tamponi giornalieri ne sono risultati positivi 123 e ci sono state 98 guarigioni. Nelle scorse ventiquattr’ore, in tutta la provincia, sono stati registrati altri otto decessi causati dall’infezione da Covid-19 e dalle sue conseguenze. Il numero complessivo delle morti per Coronavirus in Terra di lavoro dall’inizio della pandemia, dunque, sale da 970 a 978. Nel bollettino odierno diminuisce anche il numero di contagi attivi nella città di Caserta, che ne conta attualmente 608. La città col maggiore numero di casi di positività della provincia rimane ancora il capoluogo, seguita da Marcianise con 484 contagi, Maddaloni con 473, Aversa con 345, Orta di Atella con 269 e Santa Maria Capua Vetere con 229 casi.
I numeri di Aversa vanno letti tenendo conto anche dei casi dei Comuni dell’intero Agro, area densamente popolata con i centri abitati tutti adiacenti tra loro. Questi i dati riferiti alle singole realtà territoriali: le persone attualmente positive sono 36 a Carinaro, 91 a Casaluce, 50 a Cesa, 118 a Gricignano d’Aversa, 140 a Lusciano, 158 a Parete, 173 a San Marcellino, 135 a Teverola e 198 a Trentola Ducenta. Nei centri siti ai margini dell’Agro aversano la situazione è la seguente: Casal di Principe conta 161 contagi, Casapesenna 56, Frignano 116, San Cipriano d’Aversa 84, Sant’Arpino 123, Succivo 61 e Villa di Briano 81.





