• Linea Politico-Editoriale
  • La Redazione
  • Registrati
  • Termini e Condizioni
  • Contattaci
  • Lavora con noi
  • Pubblicità
  • Privacy Policy
  • Trattamento Dati
  • Entra
Il Crivello
  • Politica
  • Cronaca
    • Napoli
    • Caserta
    • Salerno
    • Benevento
    • Avellino
  • Inchieste
  • Economia
  • Società
  • Scuola
  • Cultura
    • Letture
    • Arte
    • Fumetti
  • Spettacoli
    • Musica
    • Teatro
    • Cinema
    • Televisione
  • Sport
  • Rubriche
    • LeggiAmo
    • Tech & Digital
    • Salute e Benessere
    • Architettura
    • Nutrizione
  • Registrati
Nessun risultato
Visualizza tutti i risultati
  • Politica
  • Cronaca
    • Napoli
    • Caserta
    • Salerno
    • Benevento
    • Avellino
  • Inchieste
  • Economia
  • Società
  • Scuola
  • Cultura
    • Letture
    • Arte
    • Fumetti
  • Spettacoli
    • Musica
    • Teatro
    • Cinema
    • Televisione
  • Sport
  • Rubriche
    • LeggiAmo
    • Tech & Digital
    • Salute e Benessere
    • Architettura
    • Nutrizione
  • Registrati
Nessun risultato
Visualizza tutti i risultati
Il Crivello
Nessun risultato
Visualizza tutti i risultati
Home Cronaca

Covid-19, oggi in Campania 1.575 casi e 862 guariti. Quattro morti nel Casertano

I nuovi decessi registrati sul territorio regionale sono 14. In provincia di Caserta il centro con più positivi attivi è il capoluogo, che ne conta 253. Seguono Maddaloni (205), Marcianise (181) e San Felice a Cancello (146)

Giuseppe Scuotri di Giuseppe Scuotri
17 Febbraio 2021
in Cronaca
Covid-19 coronavirus

È stato pubblicato nel pomeriggio, come ormai da mesi, il bollettino dell’Unità di crisi della protezione civile regionale che monitora i nuovi positivi al Covid-19 in Campania. Rispetto al bollettino di ieri, che su 14.156 test comunicava la presenza di 1.135 nuovi casi di contagio, nelle scorse ventiquattr’ore altre 1.575 persone sottoposte al test (di cui 135 identificate da test antigenico rapido) sono risultate positive su un totale di 20.469 tamponi laringo-faringei effettuati dalle Asl dislocate sul territorio regionale (di cui 3.164 antigenici). Di questi nuovi positivi, 52 sono sintomatici e 1.388 asintomatici.

Sono stati riscontrati, purtroppo, altri 14 decessi (8 avvenuti nelle scorse quarantotto ore e 6 nei giorni precedenti ma registrati ieri) legati all’infezione respiratoria da Covid-19 e alle sue complicazioni. Pertanto, il numero totale dei deceduti in regione sale a quota 4.053. Invece, sono 862 le nuove guarigioni registrate, numero che porta il totale dei pazienti guariti dall’infezione respiratoria a 172.860. Dall’inizio della pandemia, in Campania ci sono stati 246.592 casi di positività al Coronavirus (di cui 3.387 da test antigenico) su un totale di 2.714.018 tamponi eseguiti (di cui 69.674 antigenici).

Assieme al report quotidiano sui nuovi casi di positività al virus, è stato pubblicato anche il consueto resoconto sulla situazione dei posti letto di degenza ordinaria e di terapia intensiva per i pazienti affetti da Covid-19 nella rete ospedaliera campana. Sui 656 posti letto di terapia intensiva disponibili, 107 sono le postazioni correntemente occupate. Per quanto riguarda i posti letto di degenza ordinaria, invece, su un numero totale pari a 3.160 postazioni disponibili, sono 1.301 i posti letto attualmente occupati.

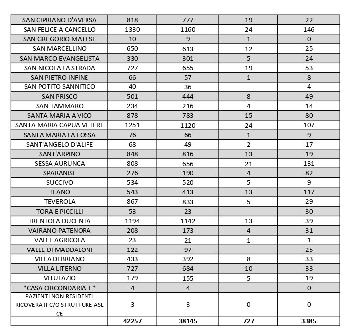
Per quanto riguarda il Casertano, il bollettino quotidiano diffuso dalla Asl di Caserta e aggiornato alle 14 delinea una situazione epidemiologica in peggioramento: su 2.010 tamponi giornalieri, infatti, ne sono risultati positivi 128 e ci sono state 173 guarigioni. Nelle scorse ventiquattr’ore, purtroppo, in tutta la provincia sono stati registrati quattro nuovi decessi causati dall’infezione da Covid-19 e dalle sue conseguenze. Il numero complessivo delle morti per Coronavirus in Terra di lavoro dall’inizio della pandemia, dunque, sale da 723 a 727. Nel bollettino odierno, cresce il numero di contagi attivi nella città di Caserta, che ne conta attualmente 243. La città col maggiore numero di casi di positività della provincia è al momento proprio il capoluogo, seguita da Maddaloni con 205 contagi, Marcianise con 181 e San Felice a Cancello con 146.

Anche nell’Agro aversano, area densamente popolata con i centri abitati tutti adiacenti tra loro, la situazione è abbastanza stabile con i seguenti dati riferiti alle singole realtà territoriali: Aversa conta 101 positivi, Carinaro 15, Casal di Principe 16, Casaluce 26, Casapesenna 15, Cesa 6, Frignano 26, Gricignano d’Aversa 21, Lusciano 60, Orta di Atella 49, Parete 5, San Cipriano d’Aversa 22, San Marcellino 25, Sant’Arpino 19, Succivo 9, Teverola 29, Trentola Ducenta 39 e Villa di Briano 33.

Al di fuori dell’Agro aversano, vanno segnalati i numeri, anche in questo caso più o meno stabili, relativi ad altri grossi centri della provincia, nei quali la situazione dei contagi attivi al momento è la seguente: ve ne sono 60 a Capua, 50 a Casagiove, 83 a Castel Volturno, 60 a Mondragone,28 a Rocca d’Evandro, 53 a San Nicola la Strada, 80 a Santa Maria a Vico, 107 a Santa Maria Capua Vetere, 131 a Sessa Aurunca, 117 a Teano e 33 a Villa Literno.

Segui già la pagina Facebook Il Crivello.it?

Tags: campania
CondividiInviaTweet
Articolo precedente

Napoli, operazione “Truck & Bus”: 472 mezzi controllati, 165 contravvenzioni e 5 patenti ritirate

Articolo successivo

Napoli, la madre di Tiziana Cantone denuncia una nota giornalista di Mediaset

Articolo successivo
Napoli, la madre di Tiziana Cantone denuncia una nota giornalista di Mediaset

Napoli, la madre di Tiziana Cantone denuncia una nota giornalista di Mediaset

Facebook Instagram Youtube Twitter LinkedIn
Il Crivello

Strumento di informazione puntuale, orientato dalla parte dei cittadini e delle associazioni, di quel tessuto sociale che non sempre ha “voce” e, spesso, trova difficoltà ad esprimersi.

Archivi

Link Utili

  • Linea Politico-Editoriale
  • La Redazione
  • Registrati
  • Entra e Invia una notizia
  • Termini e Condizioni
  • Contattaci
  • Lavora con noi
  • Per la tua pubblicità
  • Privacy Policy
  • Trattamento dati personali

© 2021 Il Crivello - Tutti i diritti riservati

Nessun risultato
Visualizza tutti i risultati
  • Politica
  • Cronaca
    • Napoli
    • Caserta
    • Salerno
    • Benevento
    • Avellino
  • Inchieste
  • Economia
  • Società
  • Scuola
  • Cultura
    • Letture
    • Arte
    • Fumetti
  • Spettacoli
    • Musica
    • Teatro
    • Cinema
    • Televisione
  • Sport
  • Rubriche
    • LeggiAmo
    • Tech & Digital
    • Salute e Benessere
    • Architettura
    • Nutrizione
  • Registrati

© 2021 Il Crivello - Tutti i diritti riservati

Questo sito Web utilizza i cookie. Continuando a utilizzare questo sito Web, acconsenti all'utilizzo dei cookie. Visita la nostra Privacy Policy.