Covid-19, oggi in Campania 966 casi su 9.509 test e 888 guariti
I nuovi decessi registrati sul territorio regionale sono 16, tre dei quali in provincia di Caserta, dove il centro con più positivi attivi è il capoluogo, che ne conta 231. Seguono Maddaloni (230), Marcianise (177) e San Felice a Cancello (167)
È stato pubblicato nel pomeriggio, come ormai da mesi, il bollettino dell’Unità di crisi della protezione civile regionale che monitora i nuovi positivi al Covid-19 in Campania. Rispetto al bollettino di ieri, che su 19.987 test comunicava la presenza di 1.603 nuovi casi di contagio, nelle scorse ventiquattr’ore altre 966 persone sottoposte al test (di cui 51 identificate da test antigenico rapido) sono risultate positive su un totale di 9.509 tamponi laringo-faringei effettuati dalle Asl dislocate sul territorio regionale (di cui 795 antigenici). Di questi nuovi positivi, 44 sono sintomatici e 871 asintomatici.
Sono stati riscontrati, purtroppo, altri 16 decessi (7 avvenuti nelle scorse quarantotto ore e 9 nei giorni precedenti ma registrati ieri) legati all’infezione respiratoria da Covid-19 e alle sue complicazioni. Pertanto, il numero totale dei deceduti in regione sale a quota 4.022. Invece, sono 888 le nuove guarigioni registrate, numero che porta il totale dei pazienti guariti dall’infezione respiratoria a 170.804. Dall’inizio della pandemia, in Campania ci sono stati 243.882 casi di positività al Coronavirus (di cui 3.116 da test antigenico) su un totale di 2.679.393 tamponi eseguiti (di cui 64.083 antigenici).
Assieme al report quotidiano sui nuovi casi di positività al virus, è stato pubblicato anche il consueto resoconto sulla situazione dei posti letto di degenza ordinaria e di terapia intensiva per i pazienti affetti da Covid-19 nella rete ospedaliera campana. Sui 656 posti letto di terapia intensiva disponibili, 107 sono le postazioni correntemente occupate. Per quanto riguarda i posti letto di degenza ordinaria, invece, su un numero totale pari a 3.160 postazioni disponibili, sono 1.281 i posti letto attualmente occupati.
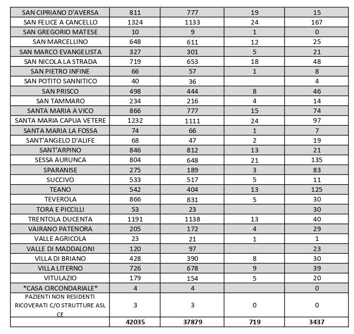
Per quanto riguarda il Casertano, il bollettino quotidiano diffuso dalla Asl di Caserta e aggiornato alle 12.30 delinea una situazione epidemiologicastabile: su appena 813 tamponi giornalieri, infatti, ne sono risultati positivi 78 e ci sono state 87 guarigioni. Nelle scorse ventiquattr’ore, purtroppo, in tutta la provincia sono stati registrati tre nuovi decessi causati dall’infezione da Covid-19 e dalle sue conseguenze. Il numero complessivo delle morti per Coronavirus in Terra di lavoro dall’inizio della pandemia, dunque, sale da 716 a 719. Nel bollettino odierno, cresce il numero di contagi attivi nella città di Caserta, che ne conta attualmente 231. La città col maggiore numero di casi di positività della provincia è al momento proprio il capoluogo, seguita da Maddaloni con 230 contagi, Marcianise con 177 e San Felice a Cancello con 167.
Anche nell’Agro aversano, area densamente popolata con i centri abitati tutti adiacenti tra loro, la situazione è abbastanza stabile con i seguenti dati riferiti alle singole realtà territoriali: Aversa conta 99 positivi, Carinaro 16, Casal di Principe 21, Casaluce 24, Casapesenna 11, Cesa 7, Frignano 27, Gricignano d’Aversa 25, Lusciano 60, Orta di Atella 55, Parete 7, San Cipriano d’Aversa 15, San Marcellino 25, Sant’Arpino 21, Succivo 11, Teverola 30, Trentola Ducenta 40 e Villa di Briano 30.
Al di fuori dell’Agro aversano, vanno segnalati i numeri, anche in questo caso più o meno stabili, relativi ad altri grossi centri della provincia, nei quali la situazione dei contagi attivi al momento è la seguente: ve ne sono 74 a Capua, 49 a Casagiove, 82 a Castel Volturno, 58 a Mondragone, 33 a Rocca d’Evandro, 48 a San Nicola la Strada, 74 a Santa Maria a Vico, 97 a Santa Maria Capua Vetere, 135 a Sessa Aurunca, 125 a Teano e 39 a Villa Literno.
Questo sito Web utilizza i cookie. Continuando a utilizzare questo sito Web, acconsenti all'utilizzo dei cookie. Visita la nostra Privacy Policy. Accetto