• Linea Politico-Editoriale
  • La Redazione
  • Registrati
  • Termini e Condizioni
  • Contattaci
  • Lavora con noi
  • Pubblicità
  • Privacy Policy
  • Trattamento Dati
  • Entra
Il Crivello
  • Politica
  • Cronaca
    • Napoli
    • Caserta
    • Salerno
    • Benevento
    • Avellino
  • Inchieste
  • Economia
  • Società
  • Scuola
  • Cultura
    • Letture
    • Arte
    • Fumetti
  • Spettacoli
    • Musica
    • Teatro
    • Cinema
    • Televisione
  • Sport
  • Rubriche
    • LeggiAmo
    • Tech & Digital
    • Salute e Benessere
    • Architettura
    • Nutrizione
  • Registrati
Nessun risultato
Visualizza tutti i risultati
  • Politica
  • Cronaca
    • Napoli
    • Caserta
    • Salerno
    • Benevento
    • Avellino
  • Inchieste
  • Economia
  • Società
  • Scuola
  • Cultura
    • Letture
    • Arte
    • Fumetti
  • Spettacoli
    • Musica
    • Teatro
    • Cinema
    • Televisione
  • Sport
  • Rubriche
    • LeggiAmo
    • Tech & Digital
    • Salute e Benessere
    • Architettura
    • Nutrizione
  • Registrati
Nessun risultato
Visualizza tutti i risultati
Il Crivello
Nessun risultato
Visualizza tutti i risultati
Home Cronaca

Covid-19, oggi in Campania 994 casi e 1.075 guariti ma con pochi tamponi effettuati (8.417): forte crescita della curva dei contagi

Sul territorio regionale sono stati registrati otto morti. Due, invece, in provincia di Caserta, dove il centro con più positivi attivi resta Maddaloni (con 259), seguito dal capoluogo (con 167) e da San Felice a Cancello (con 163)

Giuseppe Scuotri di Giuseppe Scuotri
1 Febbraio 2021
in Cronaca
nel Casertano

È stato pubblicato nel pomeriggio, come ormai da mesi, il bollettino dell’Unità di crisi della protezione civile regionale che monitora i nuovi positivi al Covid-19 in Campania. Rispetto al bollettino di ieri, che su 17.094 test comunicava la presenza di 1.401 nuovi casi di contagio, nelle scorse ventiquattr’ore altre 994 persone sottoposte al test (di cui 36 identificate da test antigenico rapido) sono risultate positive su un totale di 8.417 tamponi laringo-faringei effettuati dalle Asl dislocate sul territorio regionale (di cui 759 antigenici). Di questi nuovi positivi, 37 sono sintomatici e 921 asintomatici.

Sono stati riscontrati, purtroppo, altri 8 decessi (6 nelle scorse quarantotto ore e 2 in precedenza ma registrati ieri) legati all’infezione respiratoria da Covid-19 e alle sue complicazioni. Pertanto, il numero totale dei deceduti in regione sale a quota 3.765. Invece, sono 1.075 le nuove guarigioni registrate, numero che porta il totale dei pazienti guariti dall’infezione respiratoria a 157.081. Dall’inizio della pandemia, in Campania ci sono stati 223.179  casi di positività al Coronavirus (di cui 1.422 da test antigenico) su un totale di 2.440.638 tamponi eseguiti (di cui 26.859 antigenici).

Assieme al report quotidiano sui nuovi casi di positività al virus, è stato pubblicato anche il consueto resoconto sulla situazione dei posti letto di degenza ordinaria e di terapia intensiva per i pazienti affetti da Covid-19 nella rete ospedaliera campana. Sui 656 posti letto di terapia intensiva disponibili, 97 sono le postazioni correntemente occupate. Per quanto riguarda i posti letto di degenza ordinaria, invece, su un numero totale pari a 3.160 postazioni disponibili, sono 1.437 i posti letto attualmente occupati.

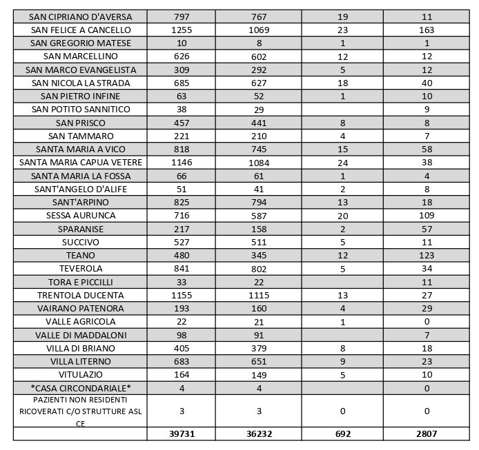
Per quanto riguarda il Casertano, il bollettino quotidiano diffuso dalla Asl di Caserta e aggiornato alle 15 delinea una situazione epidemiologica in peggioramento, col numero degli attualmente positivi e con la curva dei contagi che hanno ripreso a crescere: su appena 747 tamponi giornalieri, infatti, ne sono risultati positivi 67 e vi sono state 80 guarigioni. Purtroppo, nelle scorse ventiquattr’ore, in tutta la provincia sono stati registrati altri 2 nuovi decessi a causa dell’infezione da Covid-19 e delle sue conseguenze. Il numero complessivo delle morti per Coronavirus in Terra di lavoro dall’inizio della pandemia a oggi sale, dunque, da 690 a 692. Nel bollettino odierno, sale il numero di contagi attivi nella città di Caserta, che ne conta attualmente 167. La città col maggiore numero di casi di positività della provincia resta Maddaloni, che ne ha 259. A seguire, ci sono proprio il capoluogo, San Felice a Cancello con 163 casi e Marcianise con 161.

Anche nell’Agro aversano, area densamente popolata con i centri abitati tutti adiacenti tra loro, la situazione è in chiaro peggioramento con i seguenti dati riferiti alle singole realtà territoriali: Aversa conta 74 positivi, Carinaro 16, Casal di Principe 28, Casaluce 32, Casapesenna 2, Cesa 5, Frignano 23, Gricignano d’Aversa 13, Lusciano 23, Orta di Atella 50, Parete 13, San Cipriano d’Aversa 11, San Marcellino 12, Sant’Arpino18, Succivo 11, Teverola 34, Trentola Ducenta 27 e Villa di Briano 18. Al di fuori dell’Agro aversano, vanno segnalati i numeri, anche in questo caso non incoraggianti, relativi ad altri grossi centri della provincia, nei quali la situazione dei contagi attivi al momento è la seguente: ve ne sono 84 a Capua, 46 a Casagiove, 43 a Castel Volturno, 92 a Mondragone, 59 a Rocca d’Evandro, 40 a San Nicola la Strada, 58 a Santa Maria a Vico, 38 a Santa Maria Capua Vetere, 109 a Sessa Aurunca, 123 a Teano e 23 a Villa Literno.

Segui già la pagina Facebook Il Crivello.it?

Tags: campania
CondividiInviaTweet
Articolo precedente

Covid-19, numerose le scuole chiuse in Campania a causa dei contagi

Articolo successivo

Napoli, tentano di rubare uno scooter: arrestato 21enne e deferito minorenne

Articolo successivo
Pizzicato a vendere eroina in strada, arrestato 48enne a Salerno

Napoli, tentano di rubare uno scooter: arrestato 21enne e deferito minorenne

Facebook Instagram Youtube Twitter LinkedIn
Il Crivello

Strumento di informazione puntuale, orientato dalla parte dei cittadini e delle associazioni, di quel tessuto sociale che non sempre ha “voce” e, spesso, trova difficoltà ad esprimersi.

Archivi

Link Utili

  • Linea Politico-Editoriale
  • La Redazione
  • Registrati
  • Entra e Invia una notizia
  • Termini e Condizioni
  • Contattaci
  • Lavora con noi
  • Per la tua pubblicità
  • Privacy Policy
  • Trattamento dati personali

© 2021 Il Crivello - Tutti i diritti riservati

Nessun risultato
Visualizza tutti i risultati
  • Politica
  • Cronaca
    • Napoli
    • Caserta
    • Salerno
    • Benevento
    • Avellino
  • Inchieste
  • Economia
  • Società
  • Scuola
  • Cultura
    • Letture
    • Arte
    • Fumetti
  • Spettacoli
    • Musica
    • Teatro
    • Cinema
    • Televisione
  • Sport
  • Rubriche
    • LeggiAmo
    • Tech & Digital
    • Salute e Benessere
    • Architettura
    • Nutrizione
  • Registrati

© 2021 Il Crivello - Tutti i diritti riservati

Questo sito Web utilizza i cookie. Continuando a utilizzare questo sito Web, acconsenti all'utilizzo dei cookie. Visita la nostra Privacy Policy.