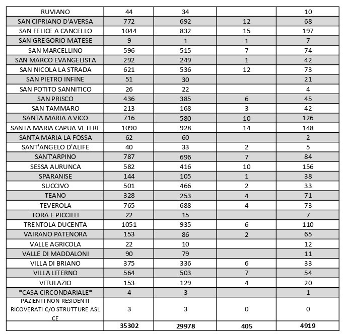
È stato pubblicato il bollettino quotidiano dell’Asl di Caserta che monitora l’andamento dell’epidemia da Covid-19 nel Casertano. Il report, aggiornato alle 14 di oggi, delinea una situazione sostanzialmente stabile, con un leggero aumento dei nuovi casi rispetto alle guarigioni: su 1.853 tamponi ne sono risultati positivi 225 e vi sono state anche 265 guariti. Anche oggi, purtroppo, in tutta la provincia sono stati registrati altri 14 decessi a causa dell’infezione da Covid-19 e delle sue conseguenze. Il numero complessivo delle morti per Coronavirus in Terra di lavoro dall’inizio della pandemia a oggi sale, dunque, da 391 a 405.
Nel bollettino odierno calano ancora i contagi attivi nella città di Caserta, che ne conta attualmente 262. La città col maggiore numero di casi di positività in provincia resta, anche oggi, Aversa, che conta attualmente 362 positivi. Alle sue spalle c’è Maddaloni, con 280 contagi. Occhi puntati ancora sull’Agro aversano, dove i centri abitati sono tutti adiacenti tra loro e il virus ha ancora una certa diffusione, con dati quasi ovunque in leggero aumento: Carinaro conta 25 positivi, Casal di Principe 119, Casaluce 41, Casapesenna 61, Cesa 46, Frignano 53, Gricignano d’Aversa 52, Lusciano 94, Orta di Atella 155, Parete 39, San Cipriano d’Aversa 68, San Marcellino 74, Sant’Arpino 84, Succivo 33, Teverola 73, Trentola Ducenta 110 e Villa di Briano 33.





