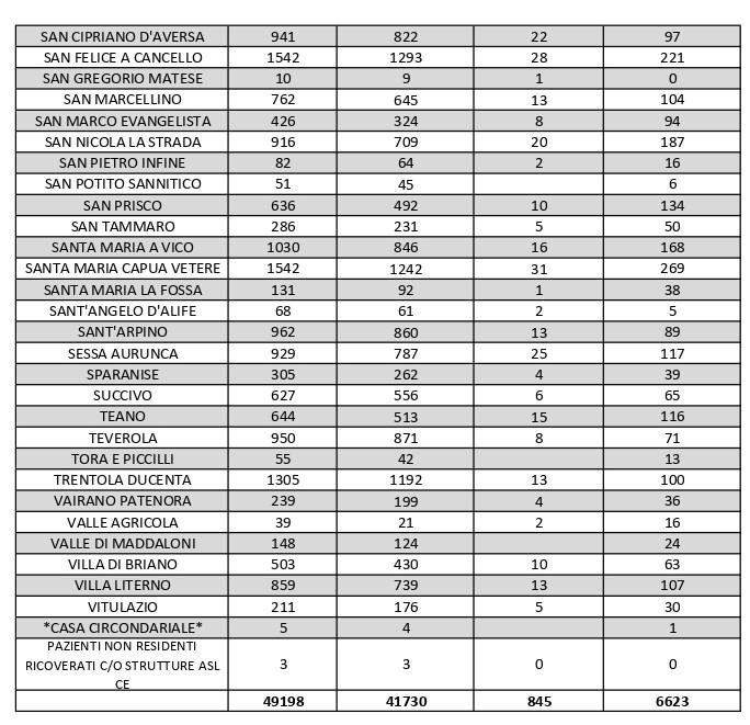
Crescono in maniera stabile i positivi al Covid-19 in provincia di Caserta. Il bollettino quotidiano diffuso oggi dalla Asl locale e aggiornato alle 15 evidenzia che su 1.399 tamponi giornalieri ne sono risultati positivi 255 e ci sono state 111 guarigioni. Nelle scorse ventiquattr’ore, purtroppo, in tutta la provincia sono stati registrati due nuovi decessi causati dall’infezione da Covid-19 e dalle sue conseguenze. Il numero complessivo delle morti per Coronavirus in Terra di lavoro dall’inizio della pandemia, dunque, sale da 843 a 845. Nel bollettino odierno, cala il numero di contagi attivi nella città di Caserta, che ne conta attualmente 540. La città col maggiore numero di casi di positività della provincia rimane comunque proprio il capoluogo, seguita da Maddaloni con 481 contagi, Aversa con 340, Marcianise con 318, Santa Maria Capua Vetere con 269 e Orta di Atella e San Felice a Cancello, entrambi con 221 casi.
I numeri di Aversa vanno letti tenendo conto anche dei casi dei Comuni limitrofi: le persone attualmente positive sono 47 a Carinaro, 68 a Casaluce, 30 a Cesa, 99 a Gricignano d’Aversa, 124 a Lusciano, 87 a Parete,104 a San Marcellino, 71 a Teverola e 100 a Trentola Ducenta. Nei centri siti ai margini dell’Agro aversano la situazione è la seguente: Casal di Principe conta 141 contagi, Casapesenna 59, Frignano 39, San Cipriano d’Aversa 97, Sant’Arpino 89, Succivo 65 e Villa di Briano 63.





