• Linea Politico-Editoriale
  • La Redazione
  • Registrati
  • Termini e Condizioni
  • Contattaci
  • Lavora con noi
  • Pubblicità
  • Privacy Policy
  • Trattamento Dati
  • Entra
Il Crivello
  • Politica
  • Cronaca
    • Napoli
    • Caserta
    • Salerno
    • Benevento
    • Avellino
  • Inchieste
  • Economia
  • Società
  • Scuola
  • Cultura
    • Letture
    • Arte
    • Fumetti
  • Spettacoli
    • Musica
    • Teatro
    • Cinema
    • Televisione
  • Sport
  • Rubriche
    • LeggiAmo
    • Tech & Digital
    • Salute e Benessere
    • Architettura
    • Nutrizione
  • Registrati
Nessun risultato
Visualizza tutti i risultati
  • Politica
  • Cronaca
    • Napoli
    • Caserta
    • Salerno
    • Benevento
    • Avellino
  • Inchieste
  • Economia
  • Società
  • Scuola
  • Cultura
    • Letture
    • Arte
    • Fumetti
  • Spettacoli
    • Musica
    • Teatro
    • Cinema
    • Televisione
  • Sport
  • Rubriche
    • LeggiAmo
    • Tech & Digital
    • Salute e Benessere
    • Architettura
    • Nutrizione
  • Registrati
Nessun risultato
Visualizza tutti i risultati
Il Crivello
Nessun risultato
Visualizza tutti i risultati
Home Cronaca Caserta

Covid-19: oggi nel Casertano 357 casi su 3.121 test, 142 guariti e 4 morti

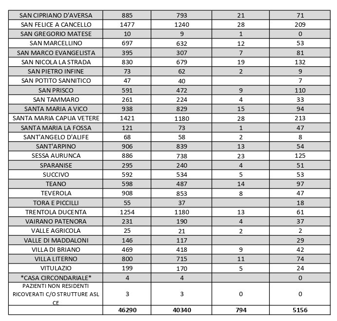
Il centro più colpito è ancora il capoluogo, che conta 445 contagi attivi. Seguono Maddaloni (340), Aversa (278), Marcianise (221) e Santa Maria Capua Vetere (213). Tutti i dati città per città

redazione di redazione
6 Marzo 2021
in Caserta, Cronaca
Coronavirus oggi in

Continuano a crescere i positivi al Covid-19 in provincia di Caserta. Il bollettino quotidiano diffuso oggi dalla Asl locale e aggiornato alle 10 evidenzia che su 3.121 tamponi giornalieri ne sono risultati positivi 357 e ci sono state 142 guarigioni. Nelle scorse ventiquattr’ore, purtroppo, in tutta la provincia sono stati registrati quattro nuovi decessi causati dall’infezione da Covid-19 e dalle sue conseguenze. Il numero complessivo delle morti per Coronavirus in Terra di lavoro dall’inizio della pandemia, dunque, sale da 790 a 794. Nel bollettino odierno, sale il numero di contagi attivi nella città di Caserta, che ne conta attualmente 445. La città col maggiore numero di casi di positività della provincia rimane comunque proprio il capoluogo, seguita da Maddaloni con 340 contagi, Aversa con 278, Marcianise con 221, Santa Maria Capua Vetere con 213 e San Felice a Cancello con 209 casi.

I numeri di Aversa vanno letti tenendo conto anche dei casi dei Comuni limitrofi: le persone attualmente positive sono 42 a Carinaro, 44 a Casaluce, 40 a Cesa, 59 a Gricignano d’Aversa, 94 a Lusciano, 71 a Parete, 53 a San Marcellino, 47 a Teverola e 61 a Trentola Ducenta. Nei centri siti ai margini dell’Agro aversano la situazione è la seguente: Casal di Principe conta 69 contagi, Casapesenna 30, Frignano 27, Orta di Atella 150, San Cipriano d’Aversa  71, Sant’Arpino 54, Succivo 53 e Villa di Briano 42.

Vanno inoltre segnalati i numeri dei contagi attivi relativi ad altri centri del Casertano: ve ne sono 81 a Calvi Risorta, 89 a Capua, 79 a Casagiove, 88 a Casapulla, 86 a Castel Volturno, 81 a Macerata Campania, 39 a Mondragone, 71 a Pietramelara, 132 a San Nicola la Strada, 110 a San Prisco, 94 a Santa Maria a Vico, 125 a Sessa Aurunca, 97 a Teano e 74 a Villa Literno.

Segui già la pagina Facebook Il Crivello.it?

Tags: Maddaloni
CondividiInviaTweet
Articolo precedente

Napoli, tragico incidente nella notte a Scampia: due morti e un ferito

Articolo successivo

Lo accusano del furto di quattro tonnellate di parmigiano e lo pestano: tre arresti a Sant’Antonio Abate

Articolo successivo
Bimbo di due anni ucciso a Castel Volturno: indagato il compagno della madre

Lo accusano del furto di quattro tonnellate di parmigiano e lo pestano: tre arresti a Sant'Antonio Abate

Facebook Instagram Youtube Twitter LinkedIn
Il Crivello

Strumento di informazione puntuale, orientato dalla parte dei cittadini e delle associazioni, di quel tessuto sociale che non sempre ha “voce” e, spesso, trova difficoltà ad esprimersi.

Archivi

Link Utili

  • Linea Politico-Editoriale
  • La Redazione
  • Registrati
  • Entra e Invia una notizia
  • Termini e Condizioni
  • Contattaci
  • Lavora con noi
  • Per la tua pubblicità
  • Privacy Policy
  • Trattamento dati personali

© 2021 Il Crivello - Tutti i diritti riservati

Nessun risultato
Visualizza tutti i risultati
  • Politica
  • Cronaca
    • Napoli
    • Caserta
    • Salerno
    • Benevento
    • Avellino
  • Inchieste
  • Economia
  • Società
  • Scuola
  • Cultura
    • Letture
    • Arte
    • Fumetti
  • Spettacoli
    • Musica
    • Teatro
    • Cinema
    • Televisione
  • Sport
  • Rubriche
    • LeggiAmo
    • Tech & Digital
    • Salute e Benessere
    • Architettura
    • Nutrizione
  • Registrati

© 2021 Il Crivello - Tutti i diritti riservati

Questo sito Web utilizza i cookie. Continuando a utilizzare questo sito Web, acconsenti all'utilizzo dei cookie. Visita la nostra Privacy Policy.