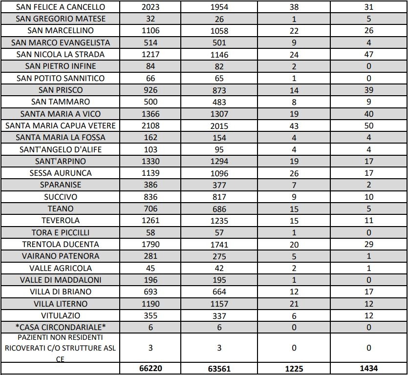
Crollo della percentuale dei positivi al Covid-19 in provincia di Caserta, che si attesta all’1,29% rispetto al 7,52% di ieri. Il bollettino quotidiano diffuso oggi dalla Asl locale evidenzia che su 778 tamponi giornalieri ne sono risultati positivi 10 ma si sono registrati 159 guariti. Nelle scorse ventiquattr’ore, in tutta la provincia, si sono registrati 3 decessi causati dall’infezione da Covid-19. Nel bollettino odierno la città di Caserta conta attualmente 79 positivi. La città maggiormente colpita della provincia è tuttavia Maddaloni con 135 contagi, seguono Marcianise con 134, Capua con 47, Aversa con 60 e Orta di Atella con 40. I dati di Aversa vanno letti tenendo conto anche dei casi nei Comuni dell’intero Agro aversano, area densamente popolata con i centri abitati che sono confinanti tra di loro. Questi i dati riferiti alle singole realtà territoriali: le persone attualmente positive sono 6 a Carinaro, 10 a Casaluce, 5 a Cesa, a Gricignano d’Aversa sono 15, a Lusciano 25 , a Parete 19 e a Teverola 11. Negli altri centri la situazione è la seguente: Casal di Principe conta 13 contagi, Casapesenna 8, Frignano 16, San Cipriano d’Aversa 9, San Marcellino 26, Sant’Arpino 17, Trentola Ducenta 29, Succivo 10, Villa di Briano 17 e Villa Literno 12. Al di fuori dell’Agro aversano, vanno segnalati i numeri relativi ad altri grossi centri della provincia, nei quali la situazione dei contagi attivi al momento è la seguente: a Casagiove sono 34 , a Castel Volturno 24 , a Mondragone 45 , a San Felice a Cancello sono 31, a San Nicola la Strada 47, a Santa Maria a Vico 40, a Santa Maria Capua Vetere 50 e a Sessa Aurunca 17. Segui già la tua pagina Facebook il Crivello.it?
Questo sito Web utilizza i cookie. Continuando a utilizzare questo sito Web, acconsenti all'utilizzo dei cookie. Visita la nostra Privacy Policy. Accetto