• Linea Politico-Editoriale
  • La Redazione
  • Registrati
  • Termini e Condizioni
  • Contattaci
  • Lavora con noi
  • Pubblicità
  • Privacy Policy
  • Trattamento Dati
  • Entra
Il Crivello
  • Politica
  • Cronaca
    • Napoli
    • Caserta
    • Salerno
    • Benevento
    • Avellino
  • Inchieste
  • Economia
  • Società
  • Scuola
  • Cultura
    • Letture
    • Arte
    • Fumetti
  • Spettacoli
    • Musica
    • Teatro
    • Cinema
    • Televisione
  • Sport
  • Rubriche
    • LeggiAmo
    • Tech & Digital
    • Salute e Benessere
    • Architettura
    • Nutrizione
  • Registrati
Nessun risultato
Visualizza tutti i risultati
  • Politica
  • Cronaca
    • Napoli
    • Caserta
    • Salerno
    • Benevento
    • Avellino
  • Inchieste
  • Economia
  • Società
  • Scuola
  • Cultura
    • Letture
    • Arte
    • Fumetti
  • Spettacoli
    • Musica
    • Teatro
    • Cinema
    • Televisione
  • Sport
  • Rubriche
    • LeggiAmo
    • Tech & Digital
    • Salute e Benessere
    • Architettura
    • Nutrizione
  • Registrati
Nessun risultato
Visualizza tutti i risultati
Il Crivello
Nessun risultato
Visualizza tutti i risultati
Home Cronaca

Bollettino Covid “Nuovo record” nel Casertano: 1.939 nuovi casi positivi su 7.252 tamponi processati

L'andamento dei contagi in Provincia di Caserta comincia ad essere preoccupante. Il tasso di positività record, al 26,74%. Attualmente, in tutto il Casertano, sono 7.252 le persone contagiate dall’infezione virale.

redazione di redazione
30 Dicembre 2021
in Cronaca

Report Covid-19 – Elaborazione effettuata il 30 dicembre 2021

Il bollettino quotidiano diffuso oggi dall’Asl di Caserta sull’andamento dell’epidemia di Covid-19 in tutta la provincia evidenzia 1.939 nuovi casi positivi al virus su un totale di 7.252 tamponi giornalieri processati dalle strutture distrettuali sanitarie.

l tasso di positività si attesta al 26,74%. Attualmente, in tutto il Casertano, si contano in totale 8.453 persone contagiate dall’infezione virale. Le persone completamente guarite dal Coronavirus invece, risultate quindi negative al doppio tampone dopo aver contratto la malattia, sono 159. Sfortunatamente nelle ultime ventiquattr’ore si registrano 2 decessi provocati dalle complicazioni del Sars-Cov-2.

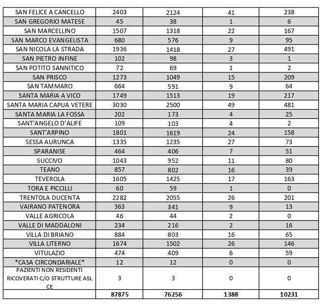
La città più colpita di tutta la provincia risulta essere Caserta con 1.348 contagiati al Covid.

Seguono: Aversa con 571, Marcianise con 552 contagiati, Maddaloni con 500 contagiati,  Castel Volturno 510, Santa M. C. Vetere con 481, San Nicola La Strada con 491. A seguire l’elenco riportato

.

Ecco i dati del bollettino sanitario città per città:

Tags: Covid-19provincia di Casertatamponi
CondividiInviaTweet
Articolo precedente

Via libera dalla Camera, la Manovra del governo Draghi è legge. Ecco le principali misure

Articolo successivo

Covid-19, oggi 11.492 positivi in Campania. De Luca boccia il Governo

Articolo successivo
Covid-19, oggi 11.492 positivi in Campania. De Luca boccia il Governo

Covid-19, oggi 11.492 positivi in Campania. De Luca boccia il Governo

Facebook Instagram Youtube Twitter LinkedIn
Il Crivello

Strumento di informazione puntuale, orientato dalla parte dei cittadini e delle associazioni, di quel tessuto sociale che non sempre ha “voce” e, spesso, trova difficoltà ad esprimersi.

Archivi

Link Utili

  • Linea Politico-Editoriale
  • La Redazione
  • Registrati
  • Entra e Invia una notizia
  • Termini e Condizioni
  • Contattaci
  • Lavora con noi
  • Per la tua pubblicità
  • Privacy Policy
  • Trattamento dati personali

© 2021 Il Crivello - Tutti i diritti riservati

Nessun risultato
Visualizza tutti i risultati
  • Politica
  • Cronaca
    • Napoli
    • Caserta
    • Salerno
    • Benevento
    • Avellino
  • Inchieste
  • Economia
  • Società
  • Scuola
  • Cultura
    • Letture
    • Arte
    • Fumetti
  • Spettacoli
    • Musica
    • Teatro
    • Cinema
    • Televisione
  • Sport
  • Rubriche
    • LeggiAmo
    • Tech & Digital
    • Salute e Benessere
    • Architettura
    • Nutrizione
  • Registrati

© 2021 Il Crivello - Tutti i diritti riservati

Questo sito Web utilizza i cookie. Continuando a utilizzare questo sito Web, acconsenti all'utilizzo dei cookie. Visita la nostra Privacy Policy.