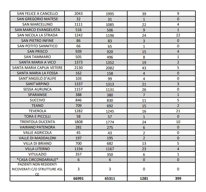
Il bollettino quotidiano diffuso oggi dall’Asl di Caserta sull’andamento dell’epidemia di Covid-19 in tutta la provincia evidenzia 37 nuovi casi positivi al virus su un totale di 1.131 tamponi giornalieri processati dalle strutture distrettuali sanitarie. Il tasso di positività si attesta oggi al 3,27%, per fortuna in discesa rispetto al tasso del 4,96% registrato nella giornata di ieri. Sotto la stretta osservazione da parte dei sanitari dell’Asl ci sono attualmente tre focolai virali scoppiati in diverse città della provincia, l’ultimo più recente verificatosi a Teverola, nell’Agro aversano, dove sono risultate positive al Covid-19 sedici persone, soprattutto bambini e ragazzi non vaccinati, residenti in uno stesso palazzo.
A oggi, in tutto il Casertano, si contano in totale 399 persone contagiate dall’infezione virale. Le persone completamente guarite dal Coronavirus invece, risultate quindi negative al doppio tampone dopo aver contratto la malattia, sono 14. Nelle ultime quarantott’ore si registra anche un decesso provocato dalle complicazioni del Sars-Cov-2. La città più colpita di tutta la provincia è Caserta, che registra attualmente 83 contagiati; seguono il capoluogo: San Nicola La Strada con 22 contagi, Teverola con 21, Aversa con 20 contagi, Casapesenna con 19, Marcianise con 18, Castel Volturno e Cancello ed Arnone entrambe con 16 contagi, Portico di Caserta con 12 e Maddaloni con 11 contagi.





